🇳🇴 🇬🇧 🇩🇪 🇨🇿 🇫🇮

Meteor Teigebyenin yllä 2020-10-25 23:24:09 UTC

KML-tiedosto  |  Interaktiivinen kartta

Kartta näyttää meteorin suuntahavainnot. Vaaleammat viivat näyttävät suunnat havaintoasemilta meteorin ilmestyessä, ja tummemmat viivat näyttävät, missä se viimeksi nähtiin. Sininen nuoli näyttää meteorin näkyvän lennon.

static map
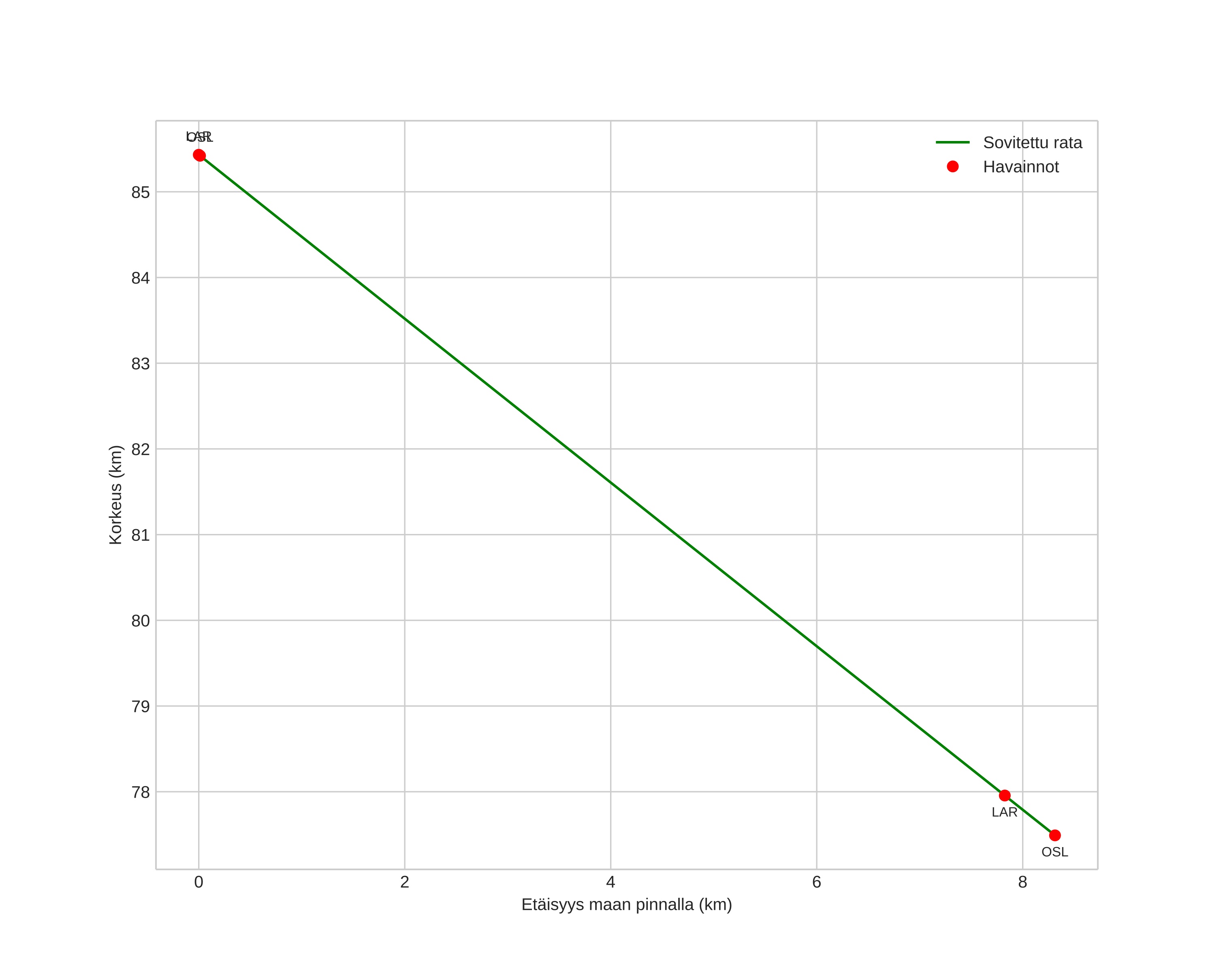
height profile
Meteorin ilmakehärata:
Alkukorkeus: 88,4 km
Loppukorkeus: 77,5 km
Alkupiste: 60,146N 10,852E
Loppupiste: 60,168N 11,039E
Suunta: 76,6°
Kallistuskulma: 45,6°
Tulonopeus: 18,6 km/s
Radiantin R,A,: 22:35 (338,8°)
Radiantin Dekl,: 28,0°
Meteoriparvi: Sporadinen
Meteoroidin rataelementit:
Perihelietäisyys: 0,925 AU
Eksentrisyys: 0,831
Inklinaatio: 12,5°
Nousevan solmun pituus: 212,7°
Perihelin argumentti: 212,2°
Keskianomalia: 358,3°
Epookki: 2020 OCT 25 23:24:09
orbit plot

Ei-interaktiivinen kuvaaja | Interaktiivinen kuvaaja

position vs time
speed and acceleration