🇳🇴 🇬🇧 🇩🇪 🇨🇿 🇫🇮

Meteor, poloha: Hov 2020-10-28 16:26:42 UTC

Soubor KML  |  InteraktivnĂ­ mapa

Mapa zobrazuje dráhy meteoru. Světlejší čáry ukazují směry od pozorovacích stanic při objevení se meteoru a tmavší čáry, kde byl naposledy viděn. Modrá šipka značí viditelnou dráhu meteoru.

static map
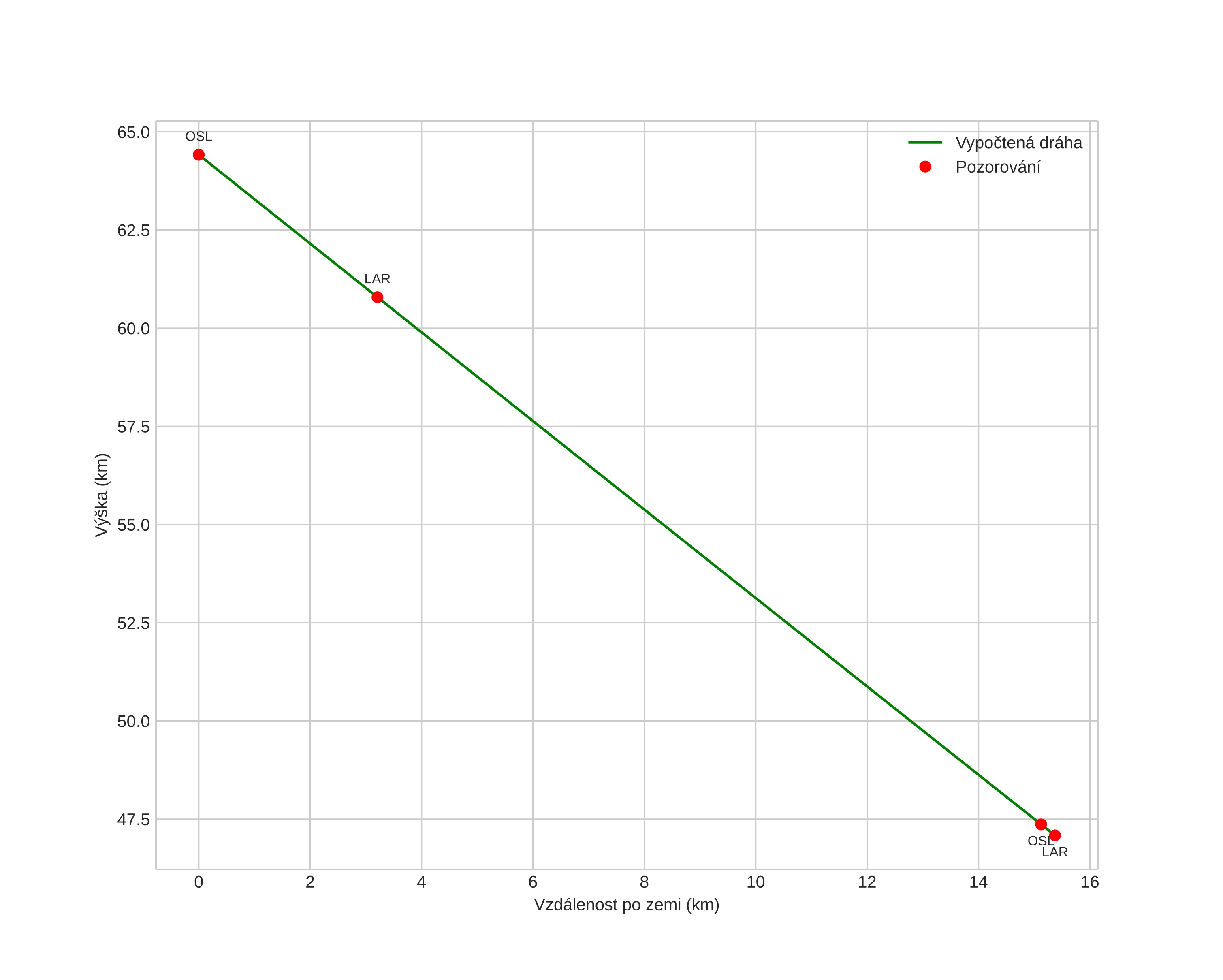
height profile
Atmosférická dráha meteoru:
Počáteční výška: 73,5 km
Konečná výška: 45,8 km
Počáteční poloha: 60,780N 10,233E
Konečná poloha: 60,855N 10,453E
Směr: 54,8°
Sklon: 62,3°
VstupnĂ­ rychlost: 20,3 km/s
Rektascenze radiantu: 17:28 (262,1°)
Deklinace radiantu: 37,5°
MeteorickĂ˝ roj: sporadickĂ˝
Elementy dráhy meteoroidu:
Vzdálenost v periheliu: 0,967 AU
Excentricita: 0,711
Sklon dráhy: 22,7°
Délka vzestupného uzlu: 215,4°
Argument perihelia: 159,4°
Střední anomálie: 2,5°
Epocha: 2020 OCT 28 16:26:42
orbit plot

NeinteraktivnĂ­ graf | InteraktivnĂ­ graf

position vs time
speed and acceleration