🇳🇴 🇬🇧 🇩🇪 🇨🇿 🇫🇮

Meteor Hovin yllä 2020-10-28 16:26:42 UTC

KML-tiedosto  |  Interaktiivinen kartta

Kartta näyttää meteorin suuntahavainnot. Vaaleammat viivat näyttävät suunnat havaintoasemilta meteorin ilmestyessä, ja tummemmat viivat näyttävät, missä se viimeksi nähtiin. Sininen nuoli näyttää meteorin näkyvän lennon.

static map
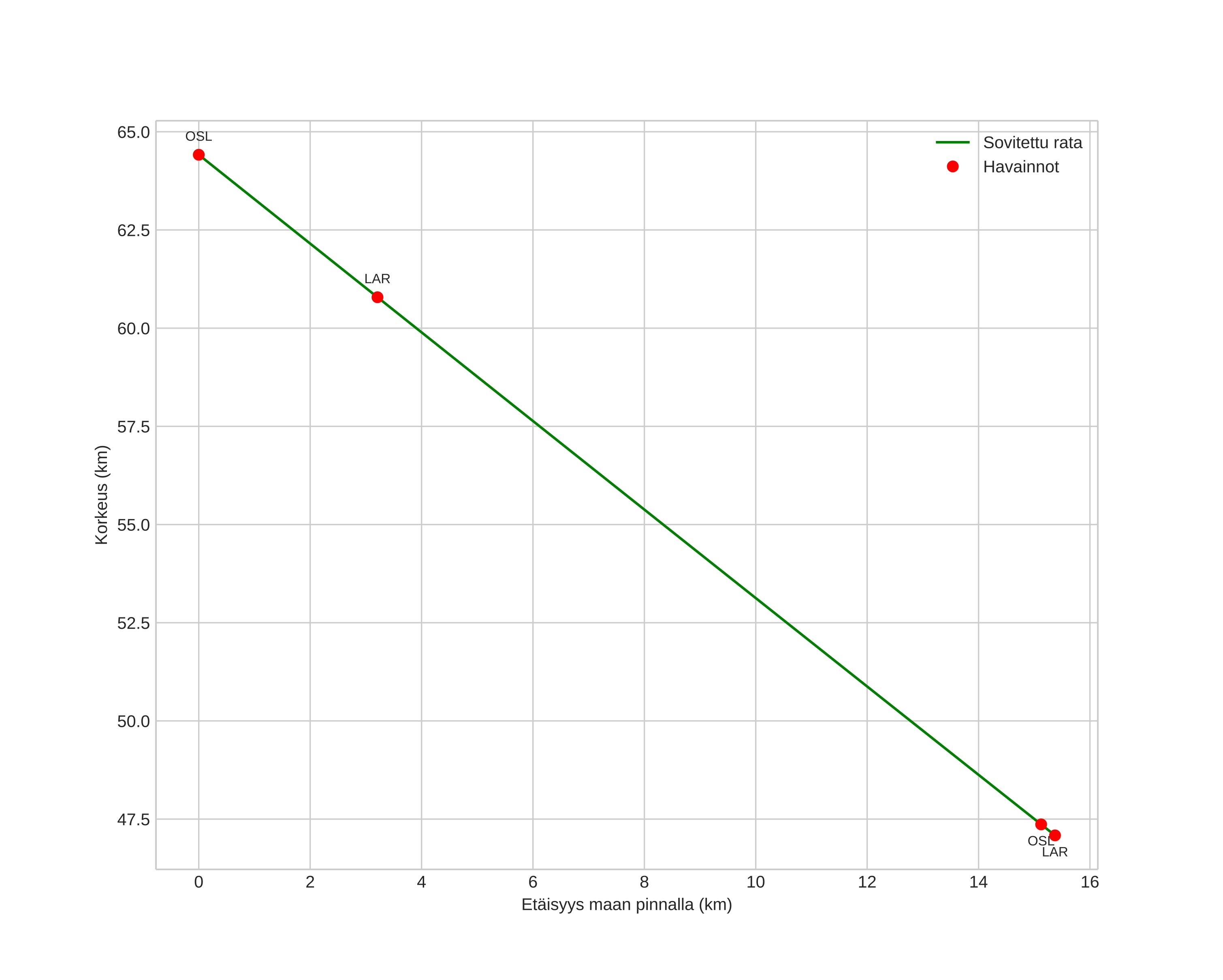
height profile
Meteorin ilmakehärata:
Alkukorkeus: 73,5 km
Loppukorkeus: 45,8 km
Alkupiste: 60,780N 10,233E
Loppupiste: 60,855N 10,453E
Suunta: 54,8°
Kallistuskulma: 62,3°
Tulonopeus: 20,3 km/s
Radiantin R,A,: 17:28 (262,1°)
Radiantin Dekl,: 37,5°
Meteoriparvi: Sporadinen
Meteoroidin rataelementit:
Perihelietäisyys: 0,967 AU
Eksentrisyys: 0,711
Inklinaatio: 22,7°
Nousevan solmun pituus: 215,4°
Perihelin argumentti: 159,4°
Keskianomalia: 2,5°
Epookki: 2020 OCT 28 16:26:42
orbit plot

Ei-interaktiivinen kuvaaja | Interaktiivinen kuvaaja

position vs time
speed and acceleration