🇳🇴 🇬🇧 🇩🇪 🇨🇿 🇫🇮

Meteor, poloha: Flisa 2020-10-30 03:02:16 UTC

Soubor KML  |  InteraktivnĂ­ mapa

Mapa zobrazuje dráhy meteoru. Světlejší čáry ukazují směry od pozorovacích stanic při objevení se meteoru a tmavší čáry, kde byl naposledy viděn. Modrá šipka značí viditelnou dráhu meteoru.

static map
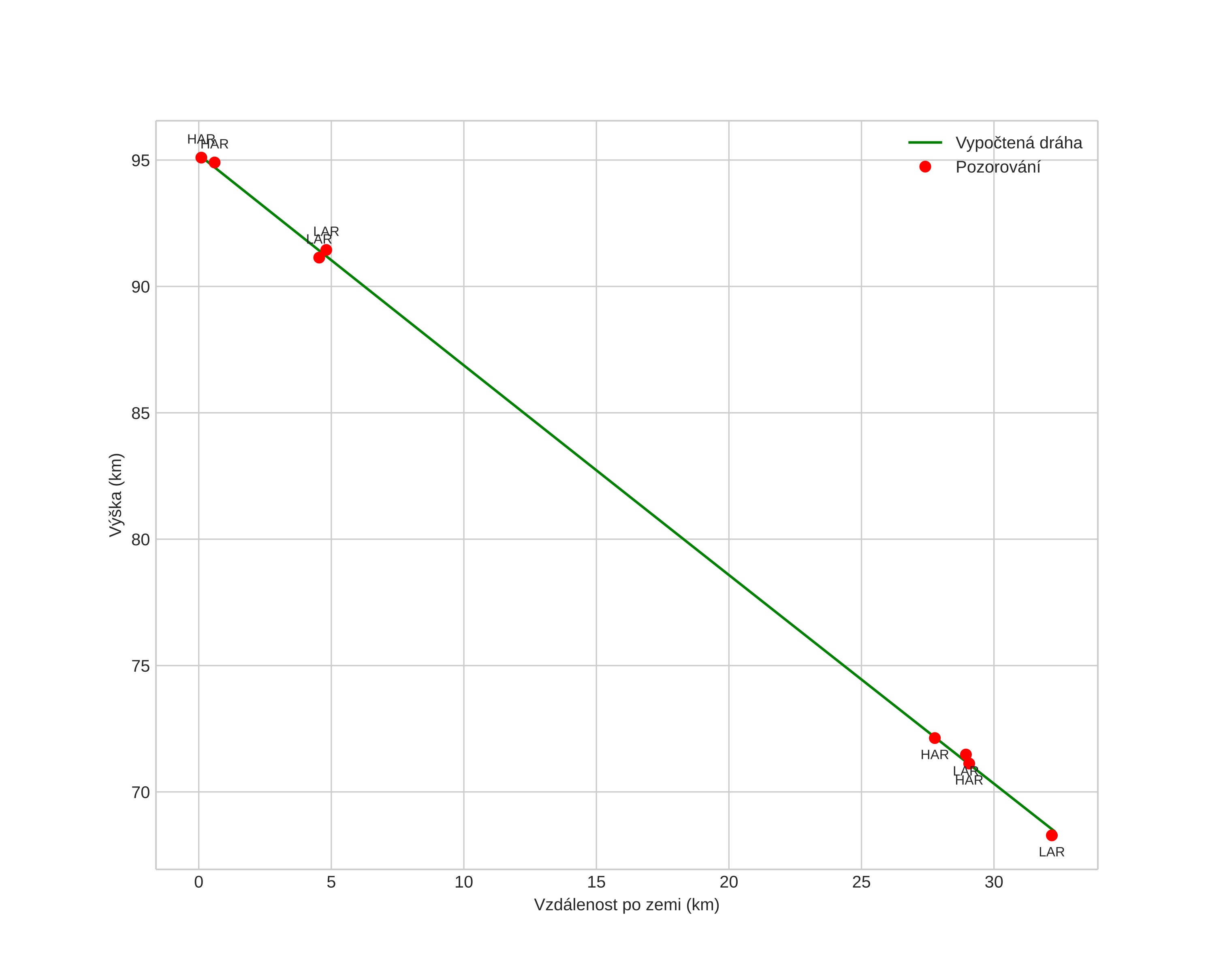
height profile
Atmosférická dráha meteoru:
Počáteční výška: 95,8 km
Konečná výška: 68,3 km
Počáteční poloha: 61,050N 12,493E
Konečná poloha: 60,756N 12,574E
Směr: 172,3°
Sklon: 39,7°
VstupnĂ­ rychlost: 27,1 km/s
Rektascenze radiantu: 19:32 (293,0°)
Deklinace radiantu: 65,6°
MeteorickĂ˝ roj: sporadickĂ˝
Elementy dráhy meteoroidu:
Vzdálenost v periheliu: 0,983 AU
Excentricita: 0,838
Sklon dráhy: 37,2°
Délka vzestupného uzlu: 216,9°
Argument perihelia: 192,0°
Střední anomálie: 359,4°
Epocha: 2020 OCT 30 03:02:16
orbit plot

NeinteraktivnĂ­ graf | InteraktivnĂ­ graf

position vs time
speed and acceleration