🇳🇴 🇬🇧 🇩🇪 🇨🇿 🇫🇮

Meteor Flisan yllä 2020-10-30 03:02:16 UTC

KML-tiedosto  |  Interaktiivinen kartta

Kartta näyttää meteorin suuntahavainnot. Vaaleammat viivat näyttävät suunnat havaintoasemilta meteorin ilmestyessä, ja tummemmat viivat näyttävät, missä se viimeksi nähtiin. Sininen nuoli näyttää meteorin näkyvän lennon.

static map
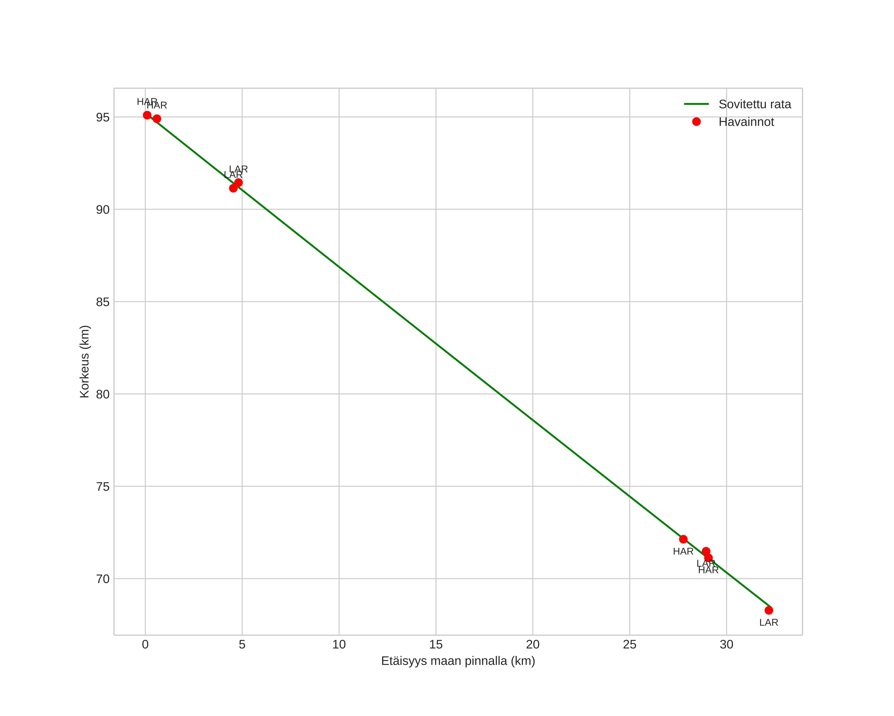
height profile
Meteorin ilmakehärata:
Alkukorkeus: 95,8 km
Loppukorkeus: 68,3 km
Alkupiste: 61,050N 12,493E
Loppupiste: 60,756N 12,574E
Suunta: 172,3°
Kallistuskulma: 39,7°
Tulonopeus: 27,1 km/s
Radiantin R,A,: 19:32 (293,0°)
Radiantin Dekl,: 65,6°
Meteoriparvi: Sporadinen
Meteoroidin rataelementit:
Perihelietäisyys: 0,983 AU
Eksentrisyys: 0,838
Inklinaatio: 37,2°
Nousevan solmun pituus: 216,9°
Perihelin argumentti: 192,0°
Keskianomalia: 359,4°
Epookki: 2020 OCT 30 03:02:16
orbit plot

Ei-interaktiivinen kuvaaja | Interaktiivinen kuvaaja

position vs time
speed and acceleration