🇳🇴 🇬🇧 🇩🇪 🇨🇿 🇫🇮

Meteor, poloha: Engerdal 2020-11-03 02:50:07 UTC

Soubor KML  |  InteraktivnĂ­ mapa

Mapa zobrazuje dráhy meteoru. Světlejší čáry ukazují směry od pozorovacích stanic při objevení se meteoru a tmavší čáry, kde byl naposledy viděn. Modrá šipka značí viditelnou dráhu meteoru.

static map
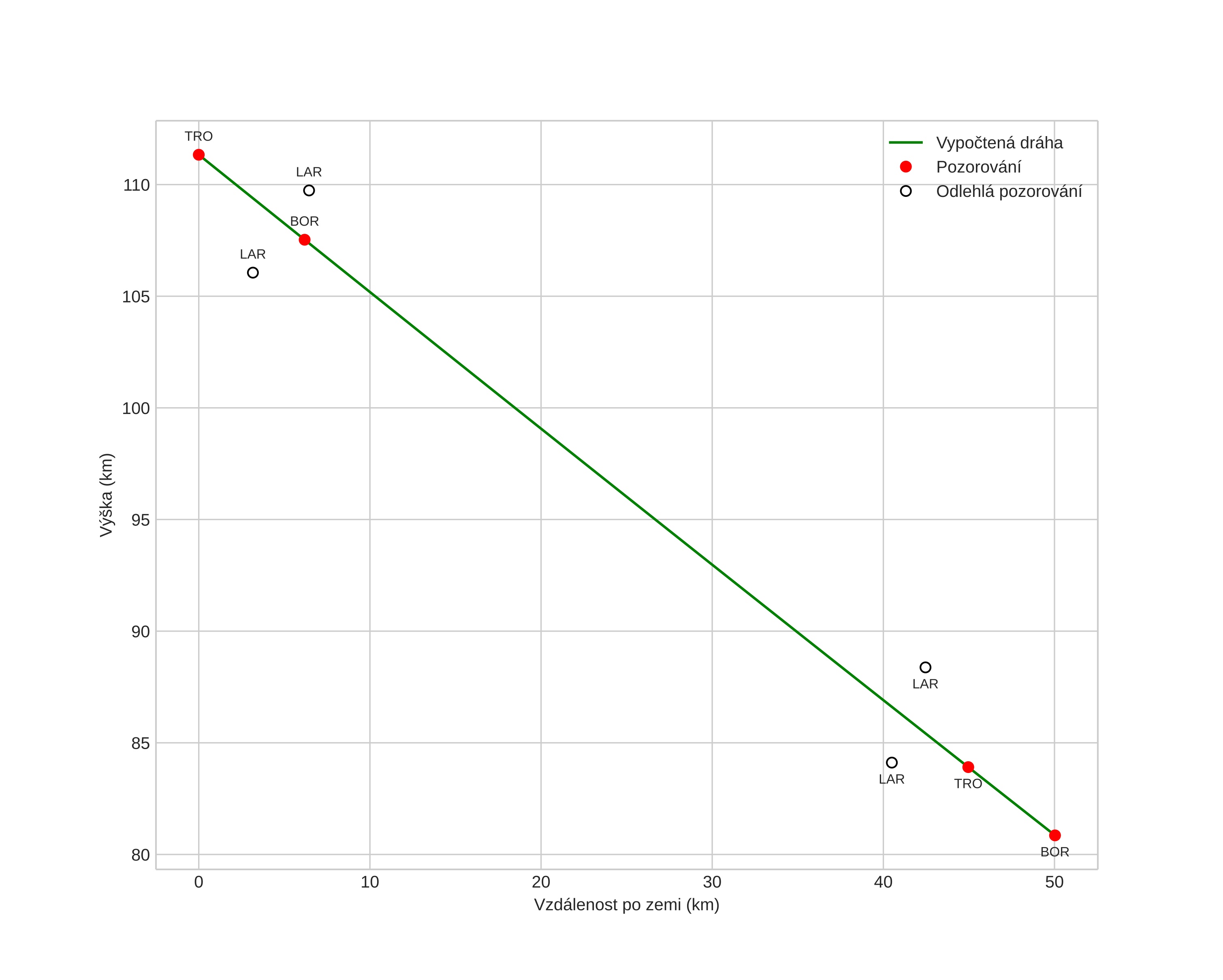
height profile
Atmosférická dráha meteoru:
Počáteční výška: 112,7 km
Konečná výška: 80,7 km
Počáteční poloha: 62,013N 13,694E
Konečná poloha: 62,186N 12,735E
Směr: 291,5°
Sklon: 30,9°
VstupnĂ­ rychlost: 77,5 km/s
Rektascenze radiantu: 10:22 (155,7°)
Deklinace radiantu: 17,6°
MeteorickĂ˝ roj: sporadickĂ˝
Elementy dráhy meteoroidu:
Vzdálenost v periheliu: 0,770 AU
Excentricita: 1,583
Sklon dráhy: 167,2°
Délka vzestupného uzlu: 220,9°
Argument perihelia: 129,4°
Střední anomálie: 16,7°
Epocha: 2020 NOV 03 02:50:07
orbit plot

NeinteraktivnĂ­ graf | InteraktivnĂ­ graf

position vs time
speed and acceleration