🇳🇴 🇬🇧 🇩🇪 🇨🇿 🇫🇮

Meteor über Engerdal 2020-11-03 02:50:07 UTC

KML-Datei  |  Interaktive Karte

Die Karte zeigt die Peilungen für den Meteor. Die helleren Linien zeigen die Richtungen von den Beobachtungsorten beim Erscheinen des Meteors, und die dunkleren Linien, wo er zuletzt gesehen wurde. Der blaue Pfeil zeigt die sichtbare Bahn des Meteors.

static map
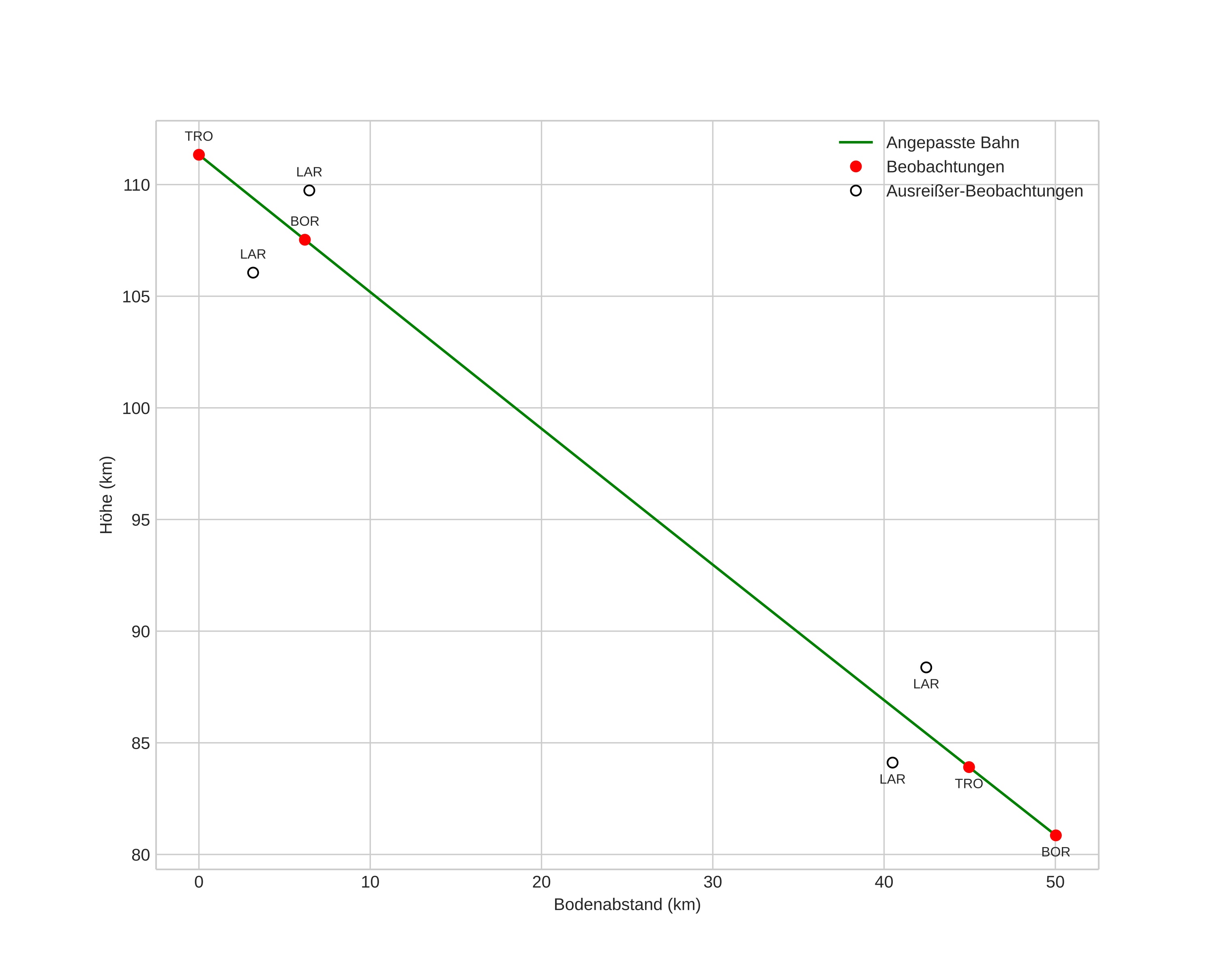
height profile
Atmosphärische Bahn des Meteors:
Anfangshöhe: 112,7 km
Endhöhe: 80,7 km
Startposition: 62,013N 13,694E
Endposition: 62,186N 12,735E
Richtung: 291,5°
Neigungswinkel: 30,9°
Eintrittsgeschwindigkeit: 77,5 km/s
Rektaszension des Radianten: 10:22 (155,7°)
Deklination des Radianten: 17,6°
Meteorstrom: sporadisch
Bahnelemente des Meteoroiden:
Periheldistanz: 0,770 AU
Exzentrizität: 1,583
Inklination: 167,2°
Länge des aufsteigenden Knotens: 220,9°
Argument des Perihels: 129,4°
Mittlere Anomalie: 16,7°
Epoche: 2020 NOV 03 02:50:07
orbit plot

Nicht-interaktives Diagramm | Interaktives Diagramm

position vs time
speed and acceleration