🇳🇴 🇬🇧 🇩🇪 🇨🇿 🇫🇮

Meteor, poloha: Hauge i Dalane 2020-11-07 17:16:51 UTC

Soubor KML  |  InteraktivnĂ­ mapa

Mapa zobrazuje dráhy meteoru. Světlejší čáry ukazují směry od pozorovacích stanic při objevení se meteoru a tmavší čáry, kde byl naposledy viděn. Modrá šipka značí viditelnou dráhu meteoru.

static map
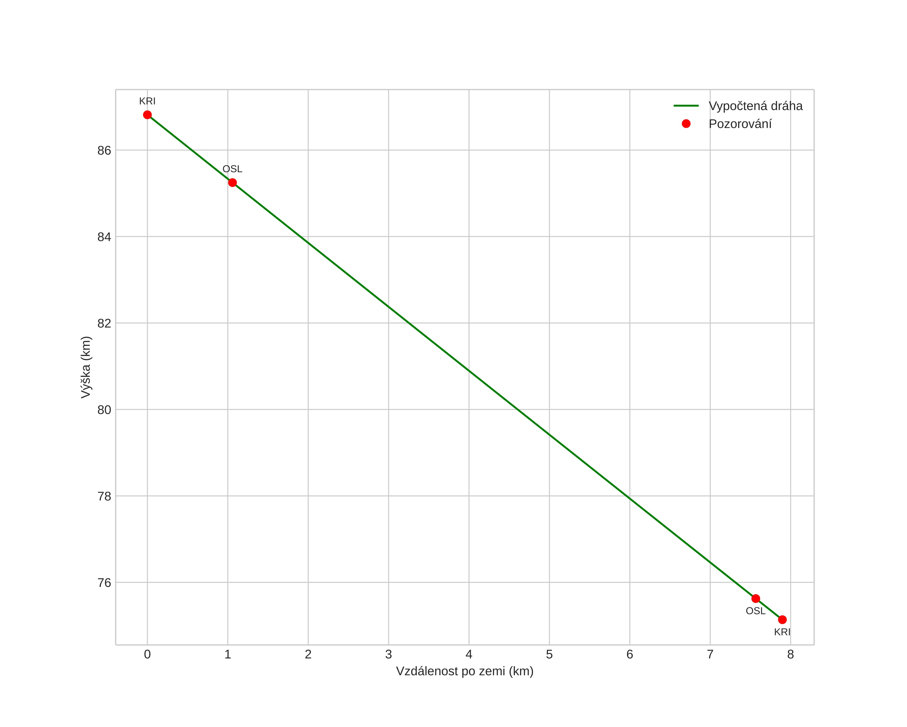
height profile
Atmosférická dráha meteoru:
Počáteční výška: 88,8 km
Konečná výška: 76,1 km
Počáteční poloha: 58,280N 6,342E
Konečná poloha: 58,341N 6,254E
Směr: 322,6°
Sklon: 56,3°
VstupnĂ­ rychlost: 16,7 km/s
Rektascenze radiantu: 22:24 (336,1°)
Deklinace radiantu: 23,6°
MeteorickĂ˝ roj: sporadickĂ˝
Elementy dráhy meteoroidu:
Vzdálenost v periheliu: 0,965 AU
Excentricita: 0,790
Sklon dráhy: 9,3°
Délka vzestupného uzlu: 225,5°
Argument perihelia: 199,8°
Střední anomálie: 358,6°
Epocha: 2020 NOV 07 17:16:51
orbit plot

NeinteraktivnĂ­ graf | InteraktivnĂ­ graf

position vs time
speed and acceleration