🇳🇴 🇬🇧 🇩🇪 🇨🇿 🇫🇮

Meteor Hauge i Dalanen yllä 2020-11-07 17:16:51 UTC

KML-tiedosto  |  Interaktiivinen kartta

Kartta näyttää meteorin suuntahavainnot. Vaaleammat viivat näyttävät suunnat havaintoasemilta meteorin ilmestyessä, ja tummemmat viivat näyttävät, missä se viimeksi nähtiin. Sininen nuoli näyttää meteorin näkyvän lennon.

static map
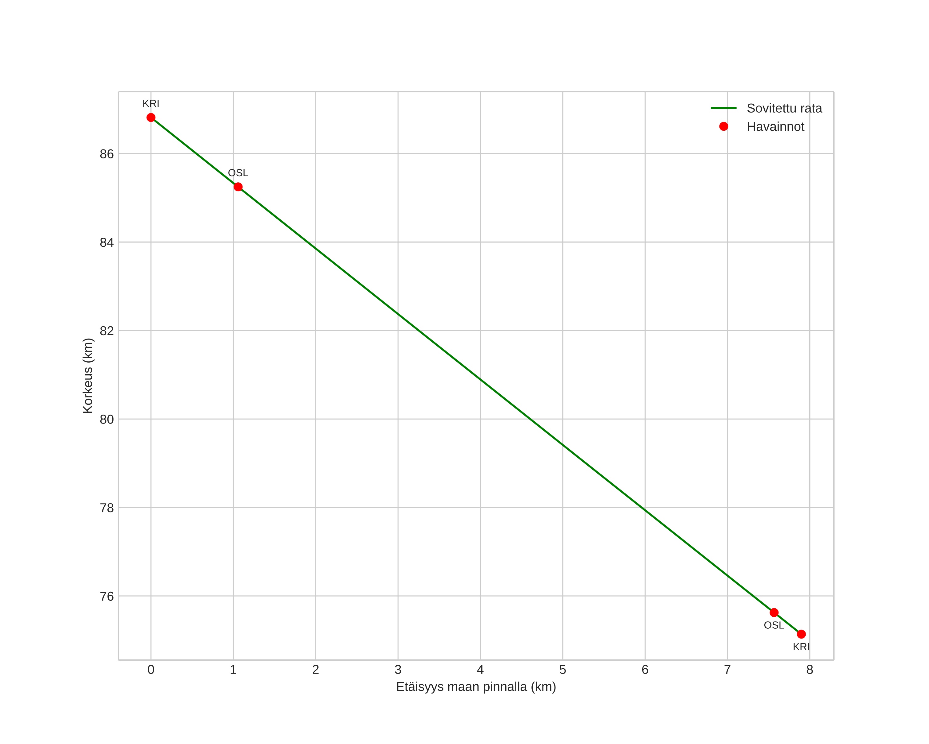
height profile
Meteorin ilmakehärata:
Alkukorkeus: 88,8 km
Loppukorkeus: 76,1 km
Alkupiste: 58,280N 6,342E
Loppupiste: 58,341N 6,254E
Suunta: 322,6°
Kallistuskulma: 56,3°
Tulonopeus: 16,7 km/s
Radiantin R,A,: 22:24 (336,1°)
Radiantin Dekl,: 23,6°
Meteoriparvi: Sporadinen
Meteoroidin rataelementit:
Perihelietäisyys: 0,965 AU
Eksentrisyys: 0,790
Inklinaatio: 9,3°
Nousevan solmun pituus: 225,5°
Perihelin argumentti: 199,8°
Keskianomalia: 358,6°
Epookki: 2020 NOV 07 17:16:51
orbit plot

Ei-interaktiivinen kuvaaja | Interaktiivinen kuvaaja

position vs time
speed and acceleration