🇳🇴 🇬🇧 🇩🇪 🇨🇿 🇫🇮

Meteor, poloha: Lødingen 2020-11-07 22:52:01 UTC

Soubor KML  |  InteraktivnĂ­ mapa

Mapa zobrazuje dráhy meteoru. Světlejší čáry ukazují směry od pozorovacích stanic při objevení se meteoru a tmavší čáry, kde byl naposledy viděn. Modrá šipka značí viditelnou dráhu meteoru.

static map
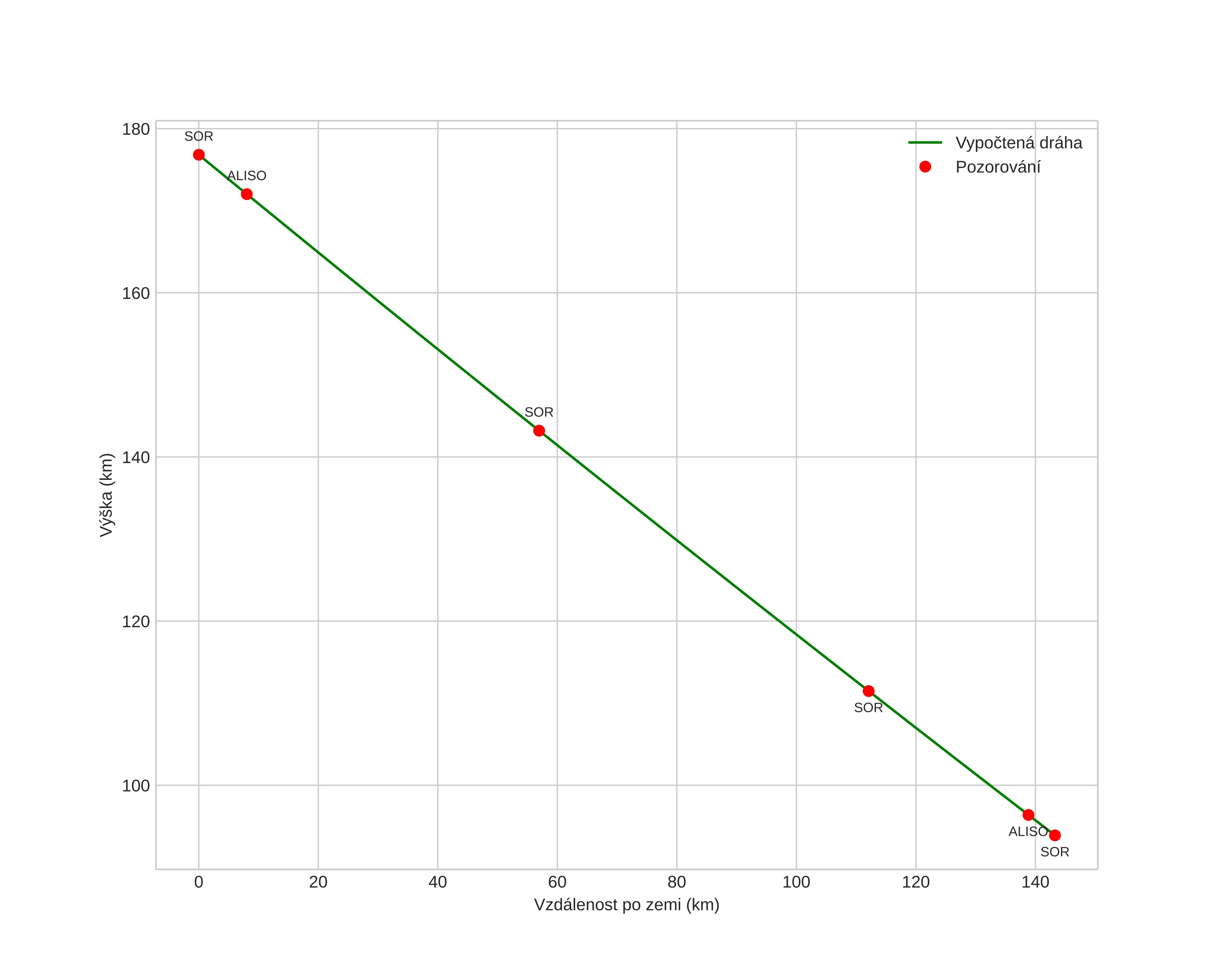
height profile
Atmosférická dráha meteoru:
Počáteční výška: 171,9 km
Konečná výška: 96,3 km
Počáteční poloha: 68,984N 18,487E
Konečná poloha: 68,385N 15,705E
Směr: 240,7°
Sklon: 30,1°
VstupnĂ­ rychlost: 83,9 km/s
Rektascenze radiantu: 10:19 (154,8°)
Deklinace radiantu: 38,2°
MeteorickĂ˝ roj: sporadickĂ˝
Elementy dráhy meteoroidu:
Vzdálenost v periheliu: 0,978 AU
Excentricita: 2,693
Sklon dráhy: 140,8°
Délka vzestupného uzlu: 225,7°
Argument perihelia: 169,1°
Střední anomálie: 12,6°
Epocha: 2020 NOV 07 22:52:01
orbit plot

NeinteraktivnĂ­ graf | InteraktivnĂ­ graf

position vs time
speed and acceleration