🇳🇴 🇬🇧 🇩🇪 🇨🇿 🇫🇮

Meteor Lødingenin yllä 2020-11-07 22:52:01 UTC

KML-tiedosto  |  Interaktiivinen kartta

Kartta näyttää meteorin suuntahavainnot. Vaaleammat viivat näyttävät suunnat havaintoasemilta meteorin ilmestyessä, ja tummemmat viivat näyttävät, missä se viimeksi nähtiin. Sininen nuoli näyttää meteorin näkyvän lennon.

static map
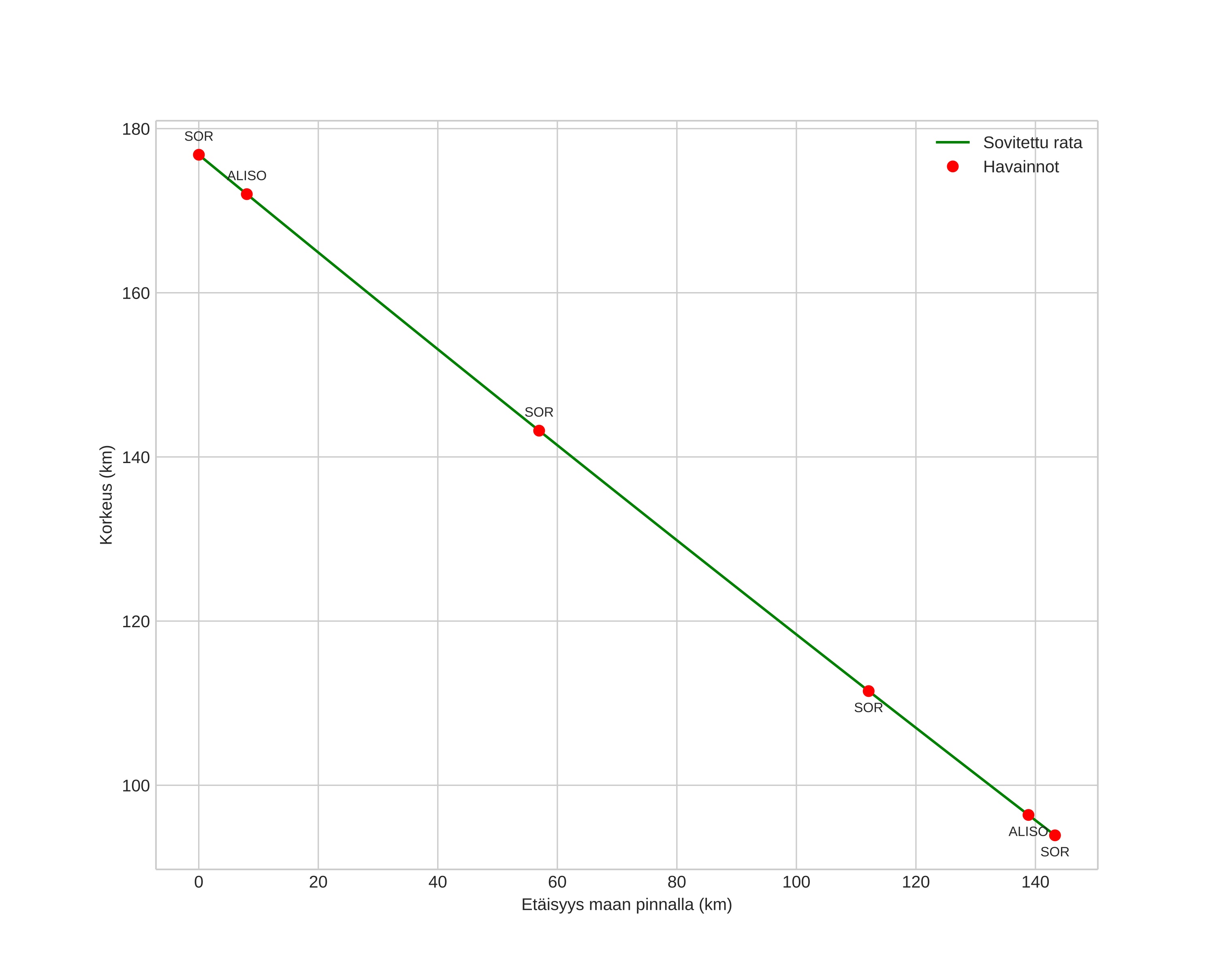
height profile
Meteorin ilmakehärata:
Alkukorkeus: 171,9 km
Loppukorkeus: 96,3 km
Alkupiste: 68,984N 18,487E
Loppupiste: 68,385N 15,705E
Suunta: 240,7°
Kallistuskulma: 30,1°
Tulonopeus: 83,9 km/s
Radiantin R,A,: 10:19 (154,8°)
Radiantin Dekl,: 38,2°
Meteoriparvi: Sporadinen
Meteoroidin rataelementit:
Perihelietäisyys: 0,978 AU
Eksentrisyys: 2,693
Inklinaatio: 140,8°
Nousevan solmun pituus: 225,7°
Perihelin argumentti: 169,1°
Keskianomalia: 12,6°
Epookki: 2020 NOV 07 22:52:01
orbit plot

Ei-interaktiivinen kuvaaja | Interaktiivinen kuvaaja

position vs time
speed and acceleration