🇳🇴 🇬🇧 🇩🇪 🇨🇿 🇫🇮

Meteor, poloha: Noresund 2020-11-08 00:40:40 UTC

Soubor KML  |  InteraktivnĂ­ mapa

Mapa zobrazuje dráhy meteoru. Světlejší čáry ukazují směry od pozorovacích stanic při objevení se meteoru a tmavší čáry, kde byl naposledy viděn. Modrá šipka značí viditelnou dráhu meteoru.

static map
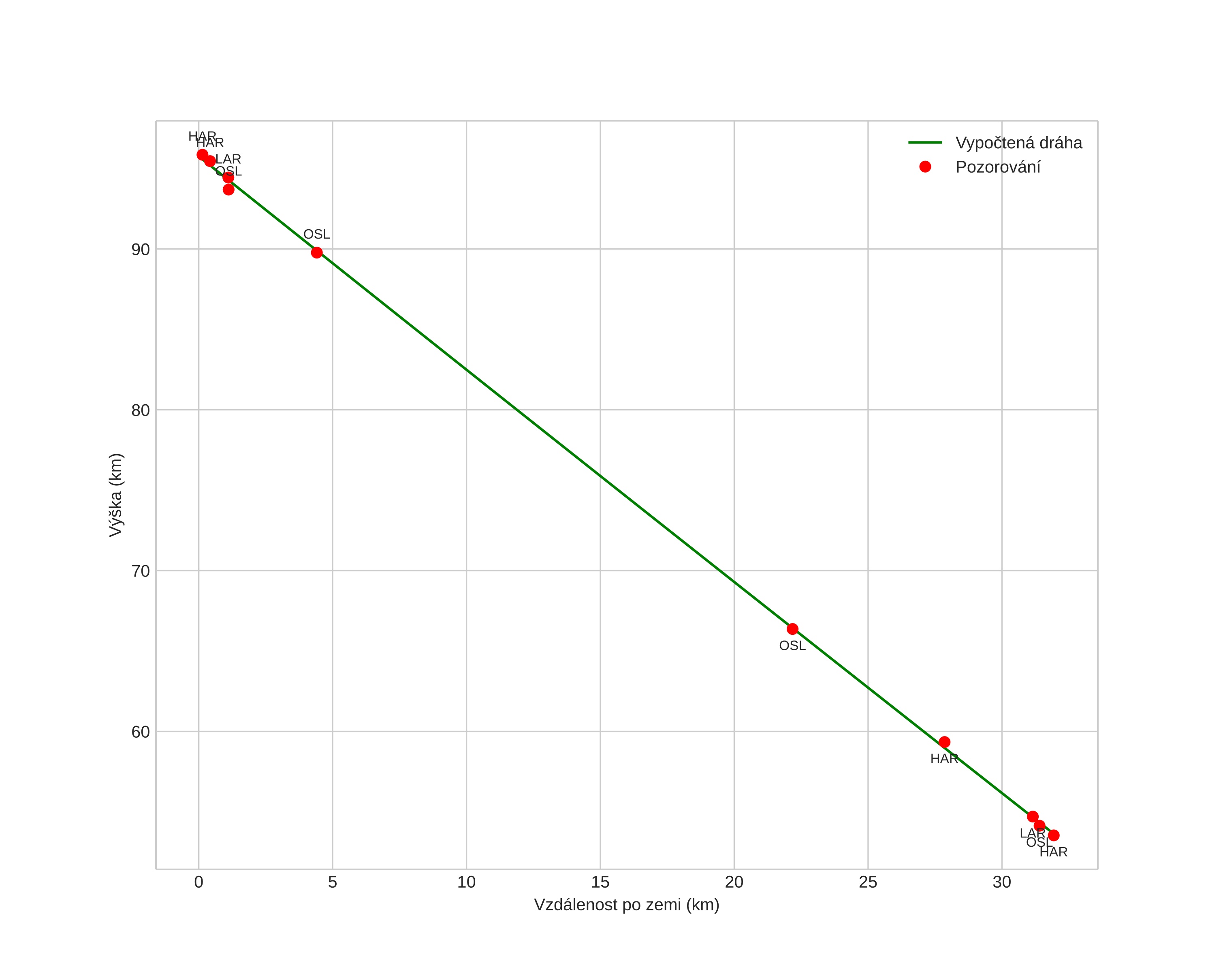
height profile
Atmosférická dráha meteoru:
Počáteční výška: 98,0 km
Konečná výška: 54,2 km
Počáteční poloha: 59,851N 9,545E
Konečná poloha: 60,136N 9,708E
Směr: 15,9°
Sklon: 53,0°
VstupnĂ­ rychlost: 30,6 km/s
Rektascenze radiantu: 03:43 (56,0°)
Deklinace radiantu: 22,1°
MeteorickĂ˝ roj: SevernĂ­ Tauridy
Elementy dráhy meteoroidu:
Vzdálenost v periheliu: 0,339 AU
Excentricita: 0,834
Sklon dráhy: 2,7°
Délka vzestupného uzlu: 225,7°
Argument perihelia: 296,6°
Střední anomálie: 345,7°
Epocha: 2020 NOV 08 00:40:40
orbit plot

NeinteraktivnĂ­ graf | InteraktivnĂ­ graf

position vs time
speed and acceleration