🇳🇴 🇬🇧 🇩🇪 🇨🇿 🇫🇮

Meteor Noresundin yllä 2020-11-08 00:40:40 UTC

KML-tiedosto  |  Interaktiivinen kartta

Kartta näyttää meteorin suuntahavainnot. Vaaleammat viivat näyttävät suunnat havaintoasemilta meteorin ilmestyessä, ja tummemmat viivat näyttävät, missä se viimeksi nähtiin. Sininen nuoli näyttää meteorin näkyvän lennon.

static map
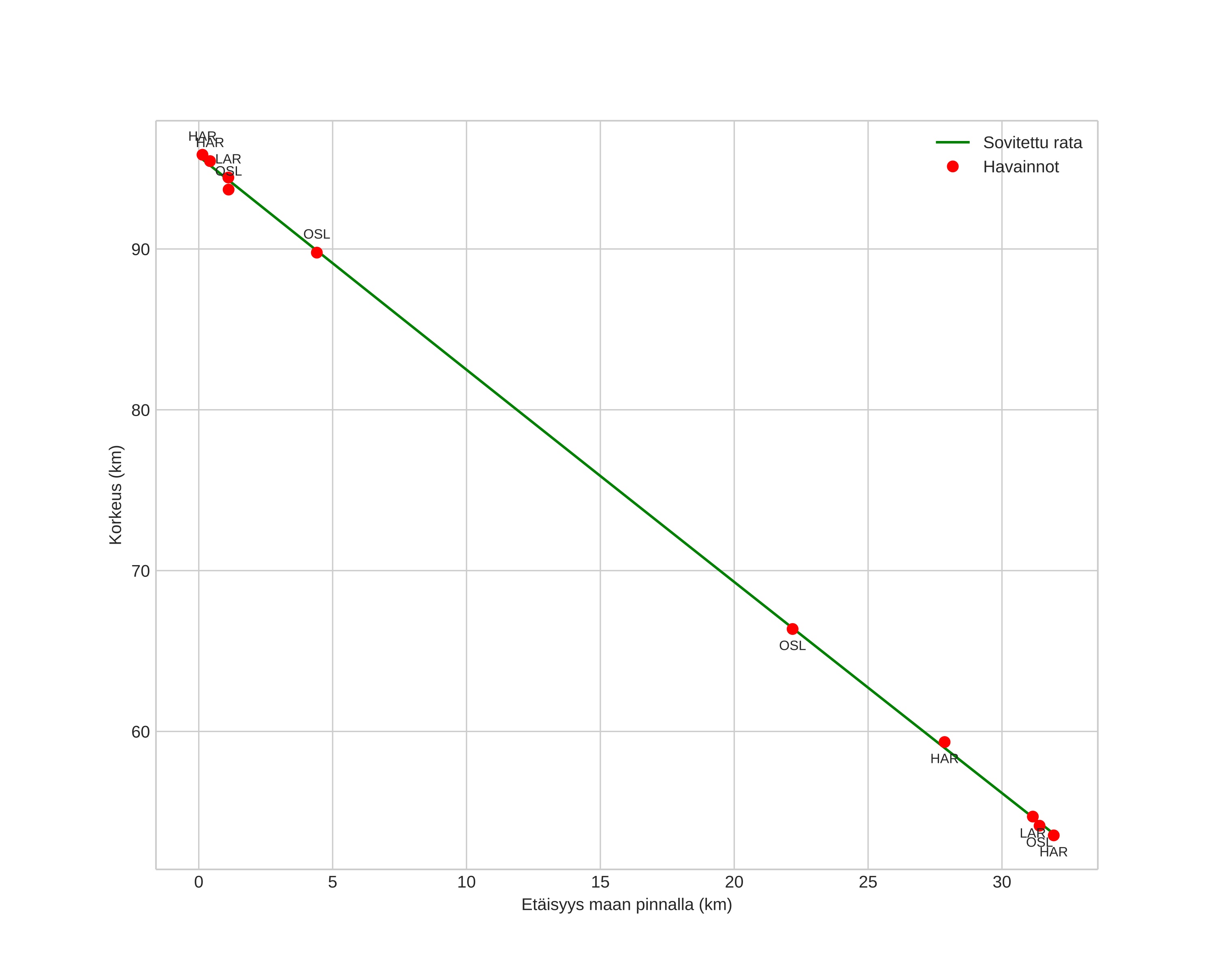
height profile
Meteorin ilmakehärata:
Alkukorkeus: 98,0 km
Loppukorkeus: 54,2 km
Alkupiste: 59,851N 9,545E
Loppupiste: 60,136N 9,708E
Suunta: 15,9°
Kallistuskulma: 53,0°
Tulonopeus: 30,6 km/s
Radiantin R,A,: 03:43 (56,0°)
Radiantin Dekl,: 22,1°
Meteoriparvi: Pohjoiset tauridit
Meteoroidin rataelementit:
Perihelietäisyys: 0,339 AU
Eksentrisyys: 0,834
Inklinaatio: 2,7°
Nousevan solmun pituus: 225,7°
Perihelin argumentti: 296,6°
Keskianomalia: 345,7°
Epookki: 2020 NOV 08 00:40:40
orbit plot

Ei-interaktiivinen kuvaaja | Interaktiivinen kuvaaja

position vs time
speed and acceleration