🇳🇴 🇬🇧 🇩🇪 🇨🇿 🇫🇮

Meteor, poloha: Malmberget 2020-11-13 23:45:04 UTC

Soubor KML  |  InteraktivnĂ­ mapa

Mapa zobrazuje dráhy meteoru. Světlejší čáry ukazují směry od pozorovacích stanic při objevení se meteoru a tmavší čáry, kde byl naposledy viděn. Modrá šipka značí viditelnou dráhu meteoru.

static map
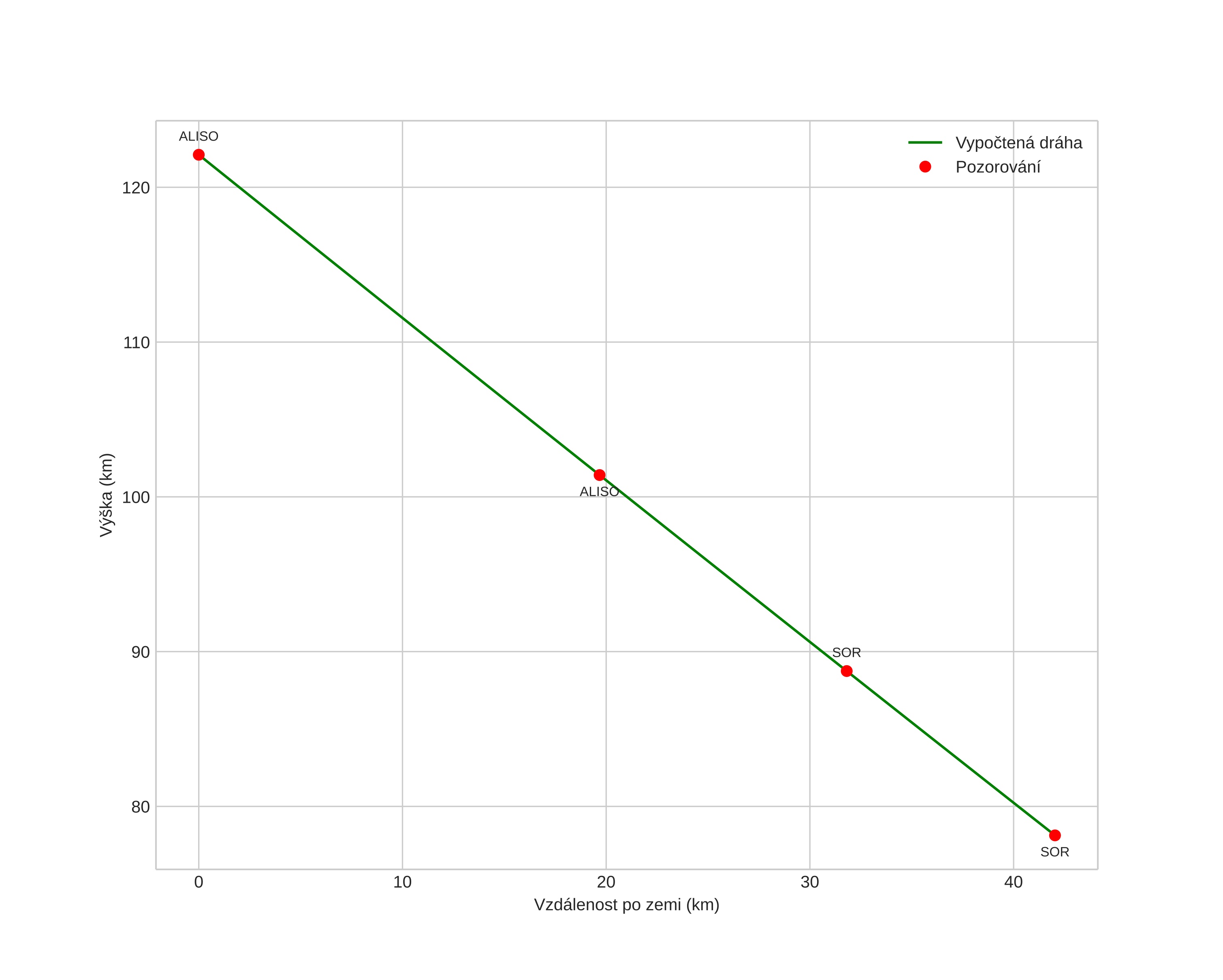
height profile
Atmosférická dráha meteoru:
Počáteční výška: 117,5 km
Konečná výška: 78,5 km
Počáteční poloha: 67,137N 20,799E
Konečná poloha: 67,442N 21,269E
Směr: 30,6°
Sklon: 44,7°
VstupnĂ­ rychlost: 25,8 km/s
Rektascenze radiantu: 03:03 (45,9°)
Deklinace radiantu: 21,6°
MeteorickĂ˝ roj: sporadickĂ˝
Elementy dráhy meteoroidu:
Vzdálenost v periheliu: 0,584 AU
Excentricita: 0,822
Sklon dráhy: 3,1°
Délka vzestupného uzlu: 231,7°
Argument perihelia: 264,8°
Střední anomálie: 353,0°
Epocha: 2020 NOV 13 23:45:04
orbit plot

NeinteraktivnĂ­ graf | InteraktivnĂ­ graf

position vs time
speed and acceleration