🇳🇴 🇬🇧 🇩🇪 🇨🇿 🇫🇮

Meteor Malmbergetin yllä 2020-11-13 23:45:04 UTC

KML-tiedosto  |  Interaktiivinen kartta

Kartta näyttää meteorin suuntahavainnot. Vaaleammat viivat näyttävät suunnat havaintoasemilta meteorin ilmestyessä, ja tummemmat viivat näyttävät, missä se viimeksi nähtiin. Sininen nuoli näyttää meteorin näkyvän lennon.

static map
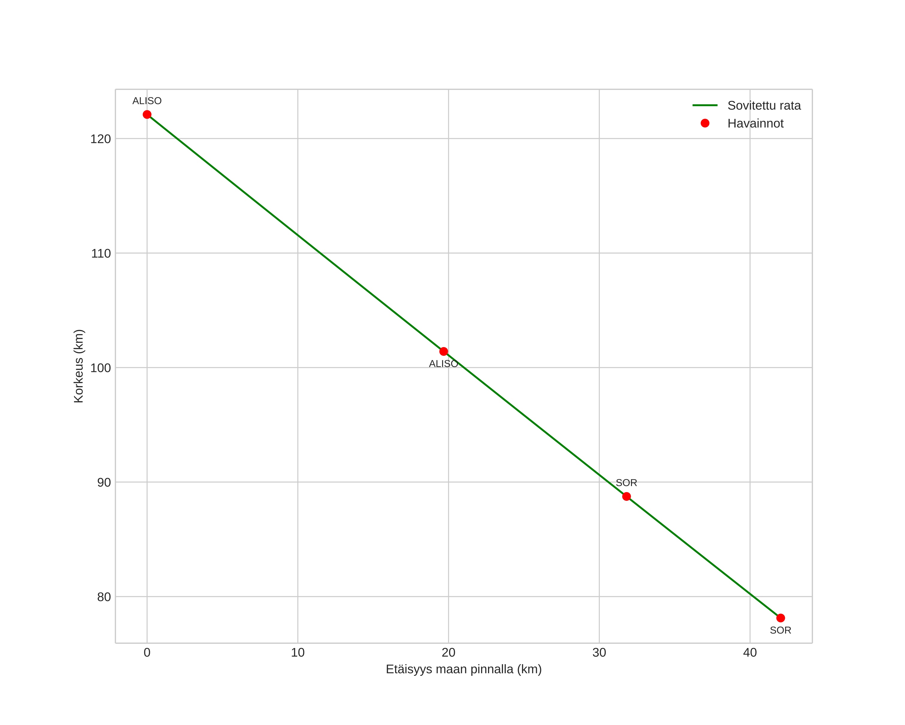
height profile
Meteorin ilmakehärata:
Alkukorkeus: 117,5 km
Loppukorkeus: 78,5 km
Alkupiste: 67,137N 20,799E
Loppupiste: 67,442N 21,269E
Suunta: 30,6°
Kallistuskulma: 44,7°
Tulonopeus: 25,8 km/s
Radiantin R,A,: 03:03 (45,9°)
Radiantin Dekl,: 21,6°
Meteoriparvi: Sporadinen
Meteoroidin rataelementit:
Perihelietäisyys: 0,584 AU
Eksentrisyys: 0,822
Inklinaatio: 3,1°
Nousevan solmun pituus: 231,7°
Perihelin argumentti: 264,8°
Keskianomalia: 353,0°
Epookki: 2020 NOV 13 23:45:04
orbit plot

Ei-interaktiivinen kuvaaja | Interaktiivinen kuvaaja

position vs time
speed and acceleration