🇳🇴 🇬🇧 🇩🇪 🇨🇿 🇫🇮

Meteor, poloha: Lyngdal 2020-11-16 02:52:52 UTC

Soubor KML  |  InteraktivnĂ­ mapa

Mapa zobrazuje dráhy meteoru. Světlejší čáry ukazují směry od pozorovacích stanic při objevení se meteoru a tmavší čáry, kde byl naposledy viděn. Modrá šipka značí viditelnou dráhu meteoru.

static map
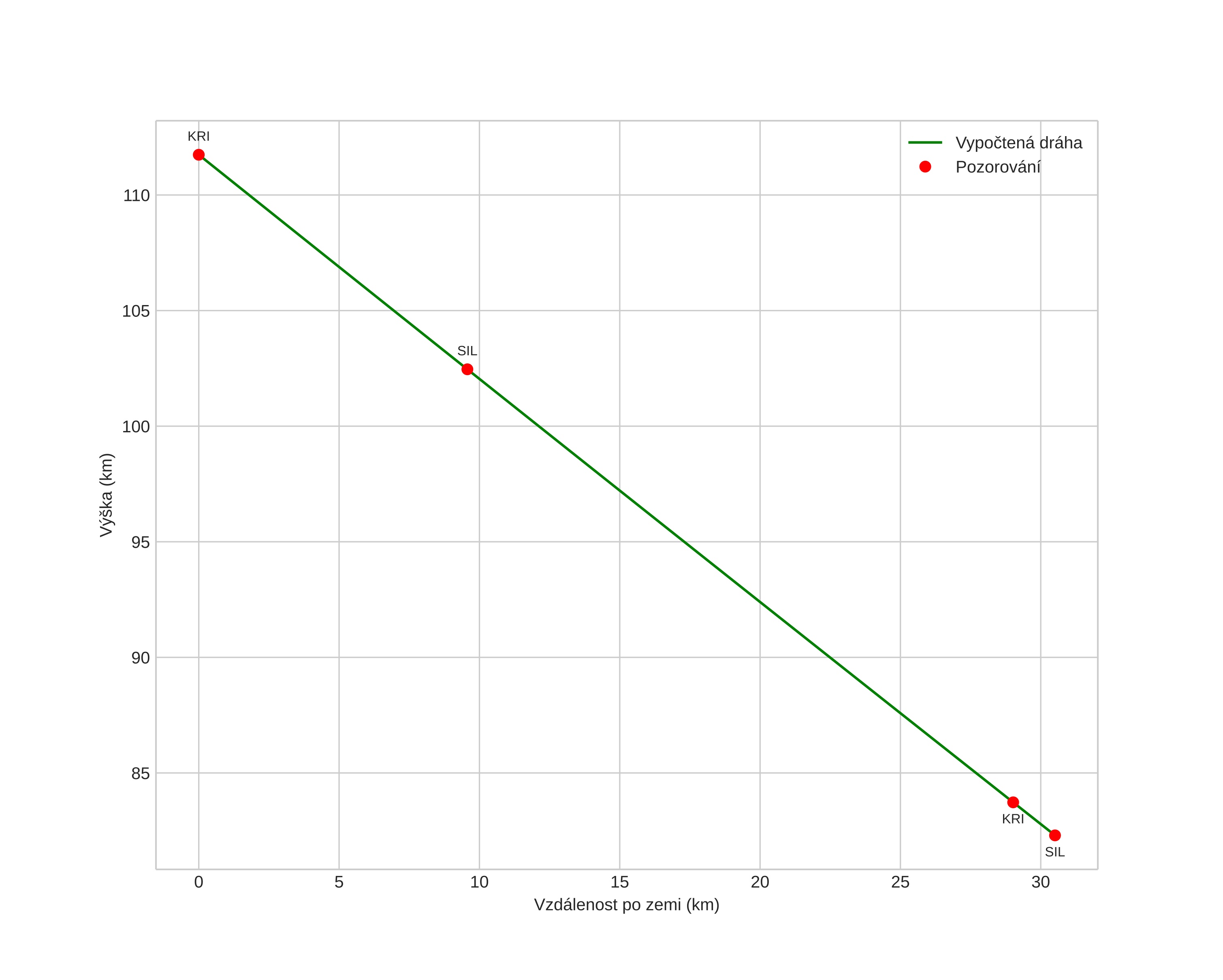
height profile
Atmosférická dráha meteoru:
Počáteční výška: 113,3 km
Konečná výška: 82,2 km
Počáteční poloha: 57,946N 7,532E
Konečná poloha: 58,074N 7,036E
Směr: 296,2°
Sklon: 43,7°
VstupnĂ­ rychlost: 74,2 km/s
Rektascenze radiantu: 10:05 (151,4°)
Deklinace radiantu: 24,5°
MeteorickĂ˝ roj: Leonidy
Elementy dráhy meteoroidu:
Vzdálenost v periheliu: 0,989 AU
Excentricita: 1,178
Sklon dráhy: 160,0°
Délka vzestupného uzlu: 233,9°
Argument perihelia: 178,3°
Střední anomálie: 0,1°
Epocha: 2020 NOV 16 02:52:52
orbit plot

NeinteraktivnĂ­ graf | InteraktivnĂ­ graf

position vs time
speed and acceleration