🇳🇴 🇬🇧 🇩🇪 🇨🇿 🇫🇮

Meteor Lyngdalin yllä 2020-11-16 02:52:52 UTC

KML-tiedosto  |  Interaktiivinen kartta

Kartta näyttää meteorin suuntahavainnot. Vaaleammat viivat näyttävät suunnat havaintoasemilta meteorin ilmestyessä, ja tummemmat viivat näyttävät, missä se viimeksi nähtiin. Sininen nuoli näyttää meteorin näkyvän lennon.

static map
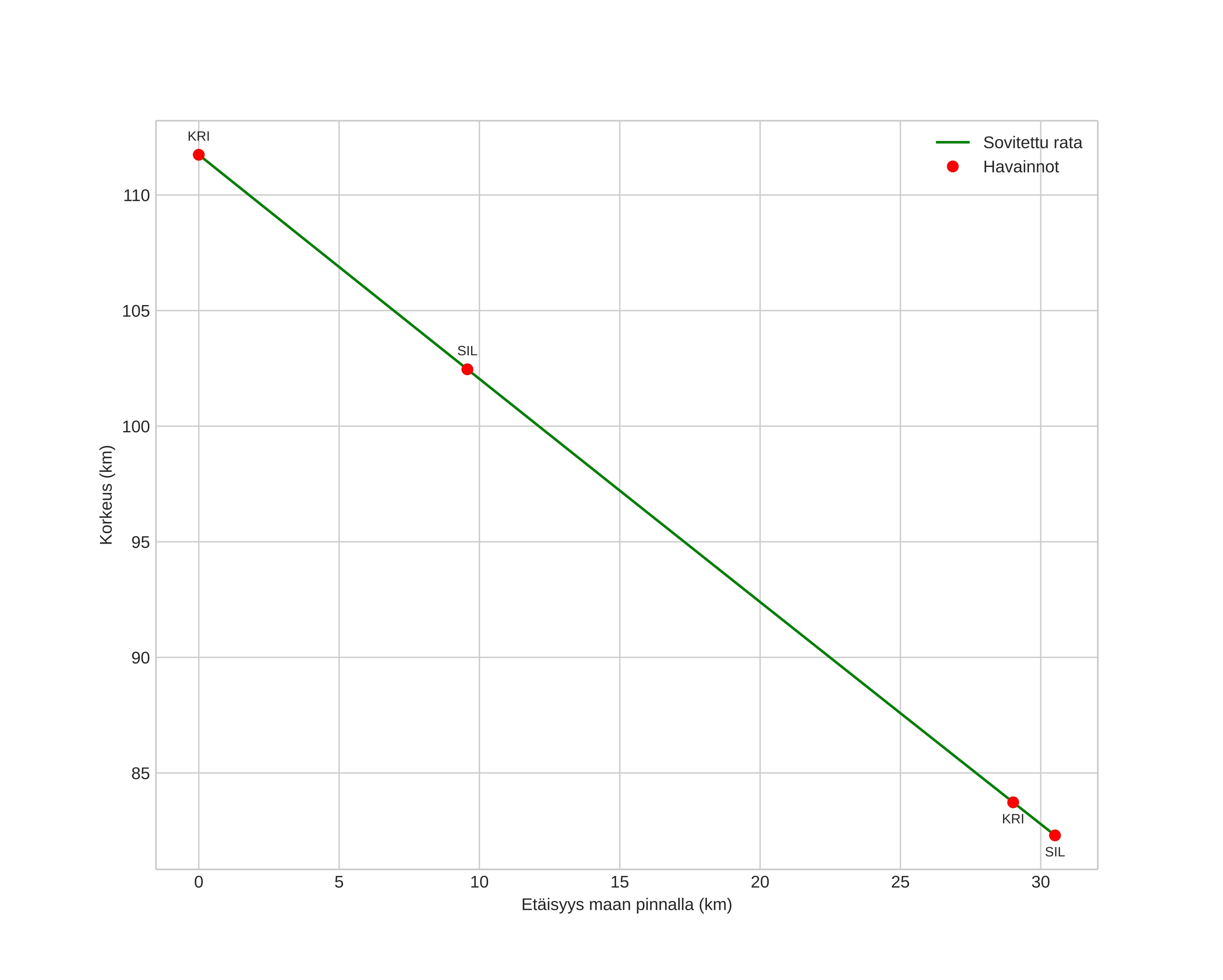
height profile
Meteorin ilmakehärata:
Alkukorkeus: 113,3 km
Loppukorkeus: 82,2 km
Alkupiste: 57,946N 7,532E
Loppupiste: 58,074N 7,036E
Suunta: 296,2°
Kallistuskulma: 43,7°
Tulonopeus: 74,2 km/s
Radiantin R,A,: 10:05 (151,4°)
Radiantin Dekl,: 24,5°
Meteoriparvi: Leonidit
Meteoroidin rataelementit:
Perihelietäisyys: 0,989 AU
Eksentrisyys: 1,178
Inklinaatio: 160,0°
Nousevan solmun pituus: 233,9°
Perihelin argumentti: 178,3°
Keskianomalia: 0,1°
Epookki: 2020 NOV 16 02:52:52
orbit plot

Ei-interaktiivinen kuvaaja | Interaktiivinen kuvaaja

position vs time
speed and acceleration