🇳🇴 🇬🇧 🇩🇪 🇨🇿 🇫🇮

Meteor, poloha: Grenaa 2020-11-19 23:51:48 UTC

Soubor KML  |  InteraktivnĂ­ mapa

Mapa zobrazuje dráhy meteoru. Světlejší čáry ukazují směry od pozorovacích stanic při objevení se meteoru a tmavší čáry, kde byl naposledy viděn. Modrá šipka značí viditelnou dráhu meteoru.

static map
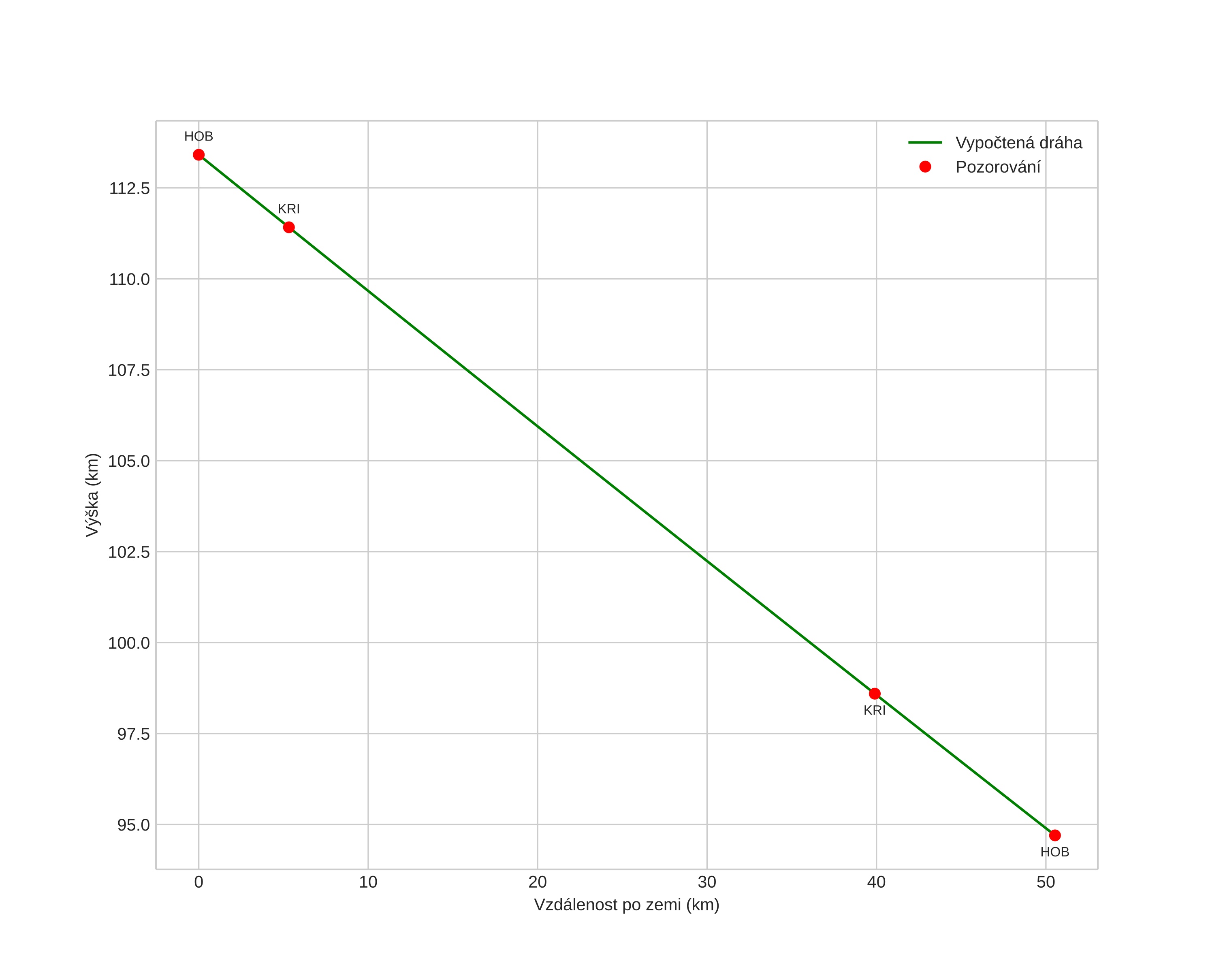
height profile
Atmosférická dráha meteoru:
Počáteční výška: 114,1 km
Konečná výška: 95,0 km
Počáteční poloha: 56,662N 12,039E
Konečná poloha: 56,586N 11,215E
Směr: 260,8°
Sklon: 20,5°
VstupnĂ­ rychlost: 66,3 km/s
Rektascenze radiantu: 10:20 (155,2°)
Deklinace radiantu: 21,7°
MeteorickĂ˝ roj: Leonidy
Elementy dráhy meteoroidu:
Vzdálenost v periheliu: 0,987 AU
Excentricita: 0,435
Sklon dráhy: 160,5°
Délka vzestupného uzlu: 237,8°
Argument perihelia: 174,4°
Střední anomálie: 2,0°
Epocha: 2020 NOV 19 23:51:48
orbit plot

NeinteraktivnĂ­ graf | InteraktivnĂ­ graf

position vs time
speed and acceleration