🇳🇴 🇬🇧 🇩🇪 🇨🇿 🇫🇮

Meteor Grenaan yllä 2020-11-19 23:51:48 UTC

KML-tiedosto  |  Interaktiivinen kartta

Kartta näyttää meteorin suuntahavainnot. Vaaleammat viivat näyttävät suunnat havaintoasemilta meteorin ilmestyessä, ja tummemmat viivat näyttävät, missä se viimeksi nähtiin. Sininen nuoli näyttää meteorin näkyvän lennon.

static map
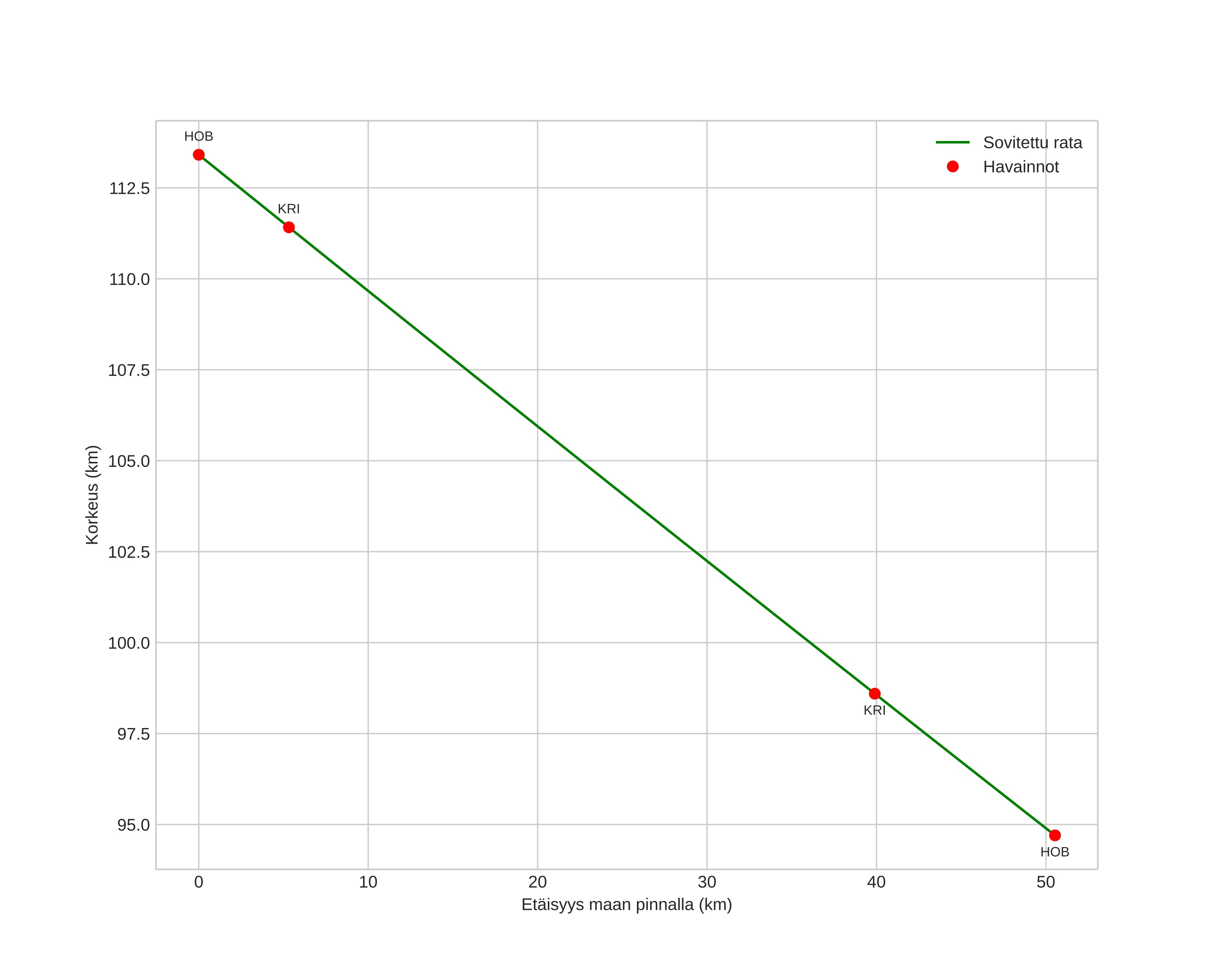
height profile
Meteorin ilmakehärata:
Alkukorkeus: 114,1 km
Loppukorkeus: 95,0 km
Alkupiste: 56,662N 12,039E
Loppupiste: 56,586N 11,215E
Suunta: 260,8°
Kallistuskulma: 20,5°
Tulonopeus: 66,3 km/s
Radiantin R,A,: 10:20 (155,2°)
Radiantin Dekl,: 21,7°
Meteoriparvi: Leonidit
Meteoroidin rataelementit:
Perihelietäisyys: 0,987 AU
Eksentrisyys: 0,435
Inklinaatio: 160,5°
Nousevan solmun pituus: 237,8°
Perihelin argumentti: 174,4°
Keskianomalia: 2,0°
Epookki: 2020 NOV 19 23:51:48
orbit plot

Ei-interaktiivinen kuvaaja | Interaktiivinen kuvaaja

position vs time
speed and acceleration