🇳🇴 🇬🇧 🇩🇪 🇨🇿 🇫🇮

Meteor, poloha: VĂĄgaholmen 2020-11-20 23:16:02 UTC

Soubor KML  |  InteraktivnĂ­ mapa

Mapa zobrazuje dráhy meteoru. Světlejší čáry ukazují směry od pozorovacích stanic při objevení se meteoru a tmavší čáry, kde byl naposledy viděn. Modrá šipka značí viditelnou dráhu meteoru.

static map
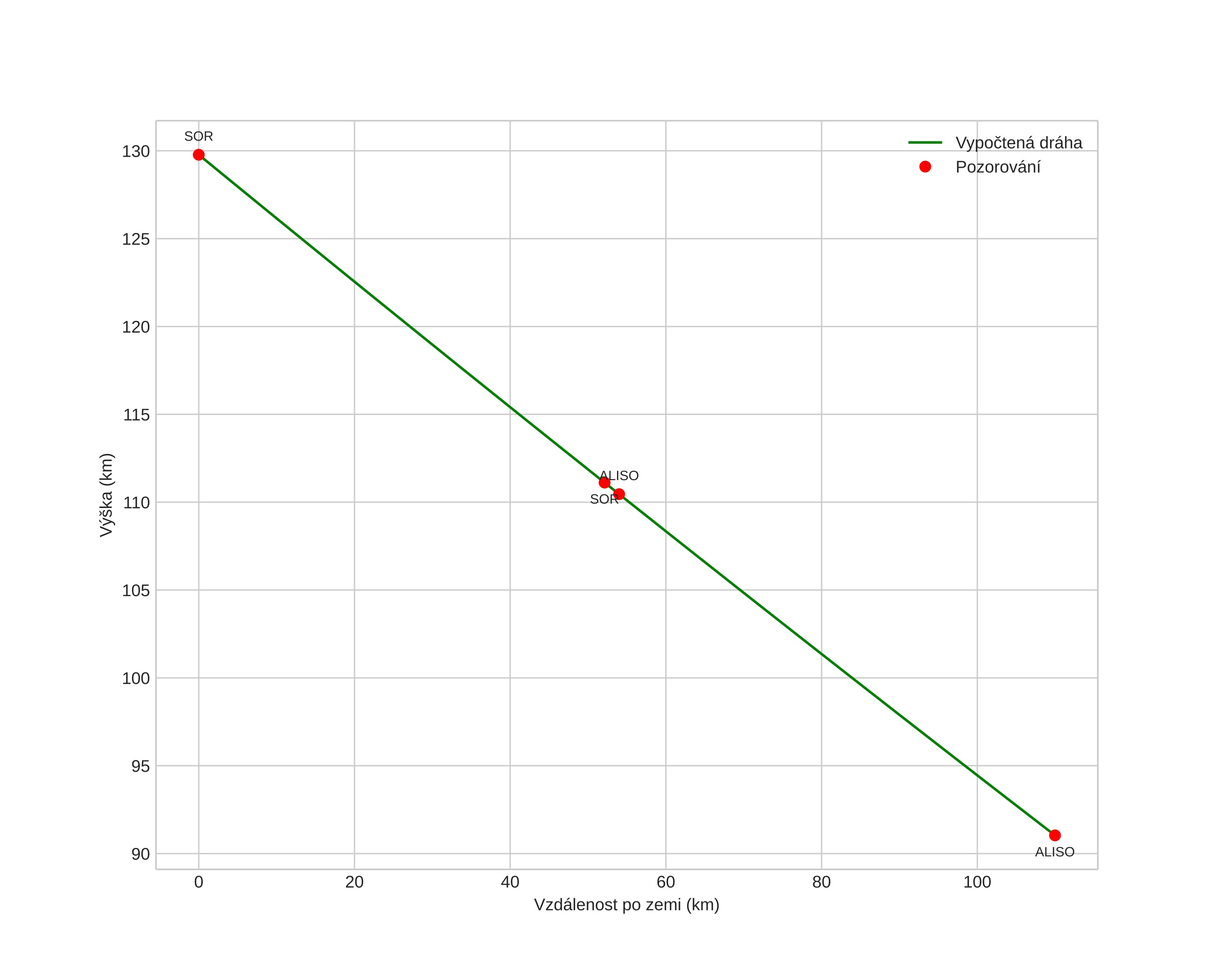
height profile
Atmosférická dráha meteoru:
Počáteční výška: 130,9 km
Konečná výška: 92,0 km
Počáteční poloha: 66,653N 16,026E
Konečná poloha: 66,567N 13,498E
Směr: 266,3°
Sklon: 19,2°
VstupnĂ­ rychlost: 75,8 km/s
Rektascenze radiantu: 10:03 (150,8°)
Deklinace radiantu: 18,7°
MeteorickĂ˝ roj: Leonidy
Elementy dráhy meteoroidu:
Vzdálenost v periheliu: 0,982 AU
Excentricita: 1,256
Sklon dráhy: 169,4°
Délka vzestupného uzlu: 238,8°
Argument perihelia: 188,4°
Střední anomálie: -0,7°
Epocha: 2020 NOV 20 23:16:02
orbit plot

NeinteraktivnĂ­ graf | InteraktivnĂ­ graf

position vs time
speed and acceleration