🇳🇴 🇬🇧 🇩🇪 🇨🇿 🇫🇮

Meteor Vågaholmenin yllä 2020-11-20 23:16:02 UTC

KML-tiedosto  |  Interaktiivinen kartta

Kartta näyttää meteorin suuntahavainnot. Vaaleammat viivat näyttävät suunnat havaintoasemilta meteorin ilmestyessä, ja tummemmat viivat näyttävät, missä se viimeksi nähtiin. Sininen nuoli näyttää meteorin näkyvän lennon.

static map
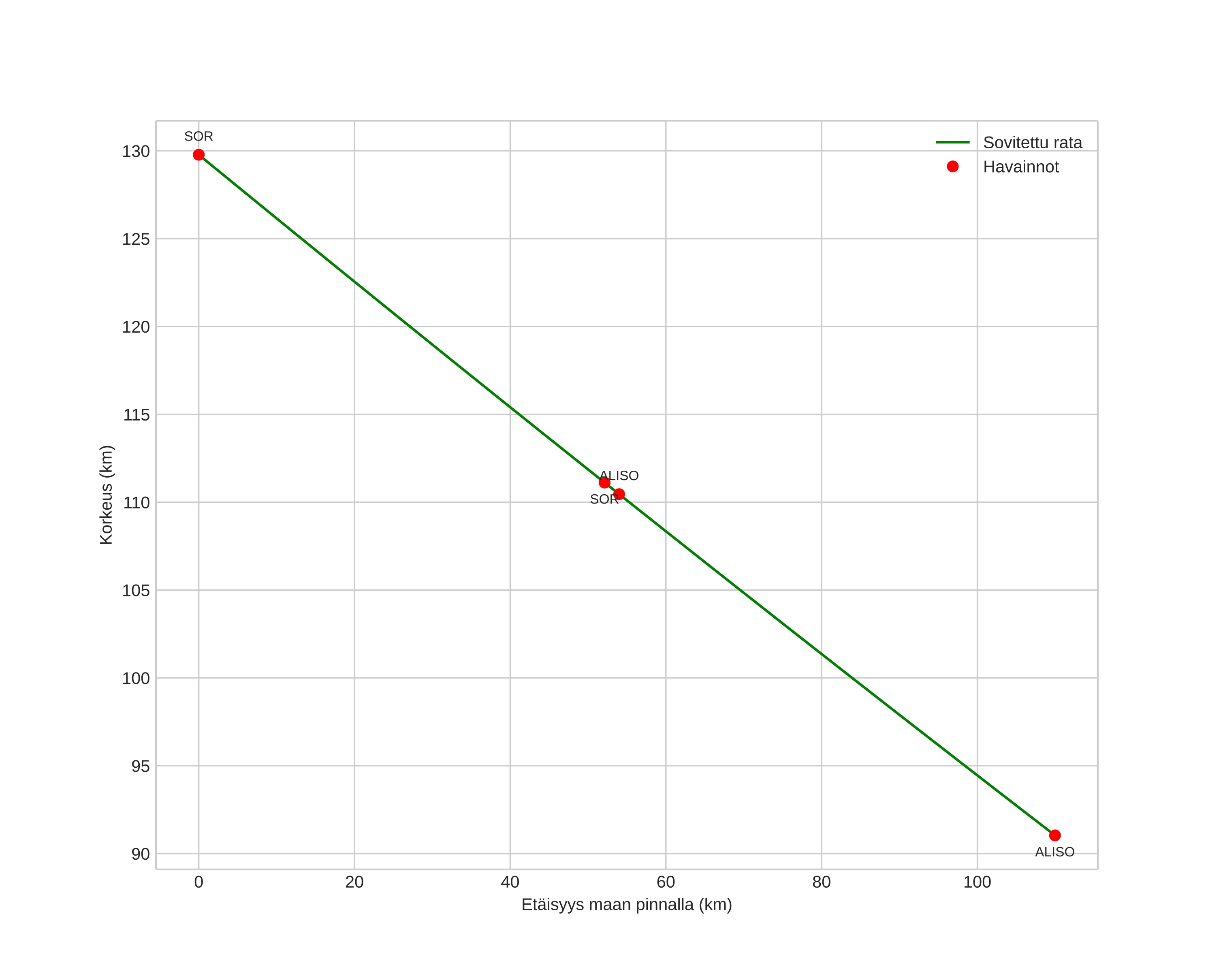
height profile
Meteorin ilmakehärata:
Alkukorkeus: 130,9 km
Loppukorkeus: 92,0 km
Alkupiste: 66,653N 16,026E
Loppupiste: 66,567N 13,498E
Suunta: 266,3°
Kallistuskulma: 19,2°
Tulonopeus: 75,8 km/s
Radiantin R,A,: 10:03 (150,8°)
Radiantin Dekl,: 18,7°
Meteoriparvi: Leonidit
Meteoroidin rataelementit:
Perihelietäisyys: 0,982 AU
Eksentrisyys: 1,256
Inklinaatio: 169,4°
Nousevan solmun pituus: 238,8°
Perihelin argumentti: 188,4°
Keskianomalia: -0,7°
Epookki: 2020 NOV 20 23:16:02
orbit plot

Ei-interaktiivinen kuvaaja | Interaktiivinen kuvaaja

position vs time
speed and acceleration