🇳🇴 🇬🇧 🇩🇪 🇨🇿 🇫🇮

Meteor, poloha: Ă…neby 2020-11-21 20:08:34 UTC

Soubor KML  |  InteraktivnĂ­ mapa

Mapa zobrazuje dráhy meteoru. Světlejší čáry ukazují směry od pozorovacích stanic při objevení se meteoru a tmavší čáry, kde byl naposledy viděn. Modrá šipka značí viditelnou dráhu meteoru.

static map
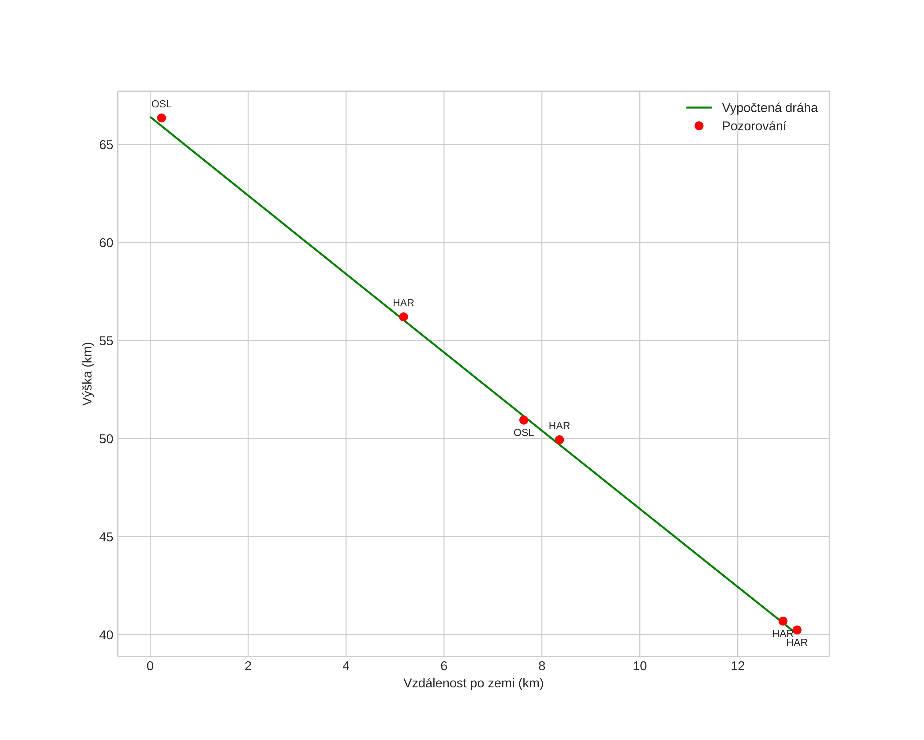
height profile
Atmosférická dráha meteoru:
Počáteční výška: 65,4 km
Konečná výška: 40,5 km
Počáteční poloha: 60,071N 10,973E
Konečná poloha: 60,184N 10,914E
Směr: 345,5°
Sklon: 62,5°
VstupnĂ­ rychlost: 16,0 km/s
Rektascenze radiantu: 01:26 (21,7°)
Deklinace radiantu: 28,3°
MeteorickĂ˝ roj: sporadickĂ˝
Elementy dráhy meteoroidu:
Vzdálenost v periheliu: 0,889 AU
Excentricita: 0,568
Sklon dráhy: 5,6°
Délka vzestupného uzlu: 239,7°
Argument perihelia: 223,7°
Střední anomálie: 349,4°
Epocha: 2020 NOV 21 20:08:34
orbit plot

NeinteraktivnĂ­ graf | InteraktivnĂ­ graf

position vs time
speed and acceleration