🇳🇴 🇬🇧 🇩🇪 🇨🇿 🇫🇮

Meteor Ånebyn yllä 2020-11-21 20:08:34 UTC

KML-tiedosto  |  Interaktiivinen kartta

Kartta näyttää meteorin suuntahavainnot. Vaaleammat viivat näyttävät suunnat havaintoasemilta meteorin ilmestyessä, ja tummemmat viivat näyttävät, missä se viimeksi nähtiin. Sininen nuoli näyttää meteorin näkyvän lennon.

static map
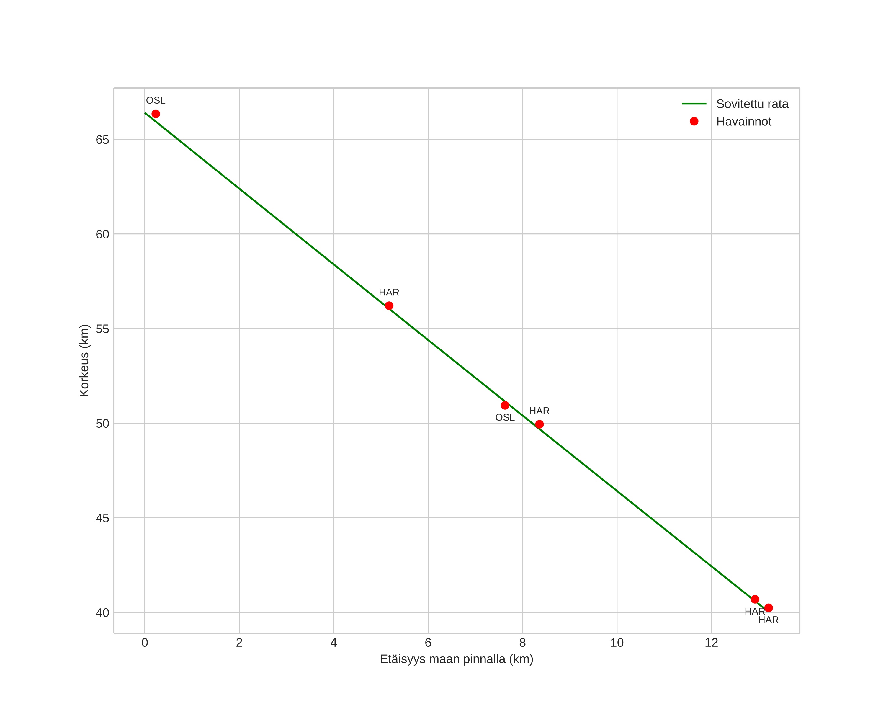
height profile
Meteorin ilmakehärata:
Alkukorkeus: 66,4 km
Loppukorkeus: 40,2 km
Alkupiste: 60,070N 10,978E
Loppupiste: 60,184N 10,913E
Suunta: 344,2°
Kallistuskulma: 63,4°
Tulonopeus: 16,6 km/s
Radiantin R,A,: 01:28 (22,2°)
Radiantin Dekl,: 29,9°
Meteoriparvi: Sporadinen
Meteoroidin rataelementit:
Perihelietäisyys: 0,880 AU
Eksentrisyys: 0,602
Inklinaatio: 6,5°
Nousevan solmun pituus: 239,7°
Perihelin argumentti: 224,8°
Keskianomalia: 350,4°
Epookki: 2020 NOV 21 20:08:34
orbit plot

Ei-interaktiivinen kuvaaja | Interaktiivinen kuvaaja

position vs time
speed and acceleration