🇳🇴 🇬🇧 🇩🇪 🇨🇿 🇫🇮

Meteor, poloha: Narvik 2020-11-24 05:03:13 UTC

Soubor KML  |  InteraktivnĂ­ mapa

Mapa zobrazuje dráhy meteoru. Světlejší čáry ukazují směry od pozorovacích stanic při objevení se meteoru a tmavší čáry, kde byl naposledy viděn. Modrá šipka značí viditelnou dráhu meteoru.

static map
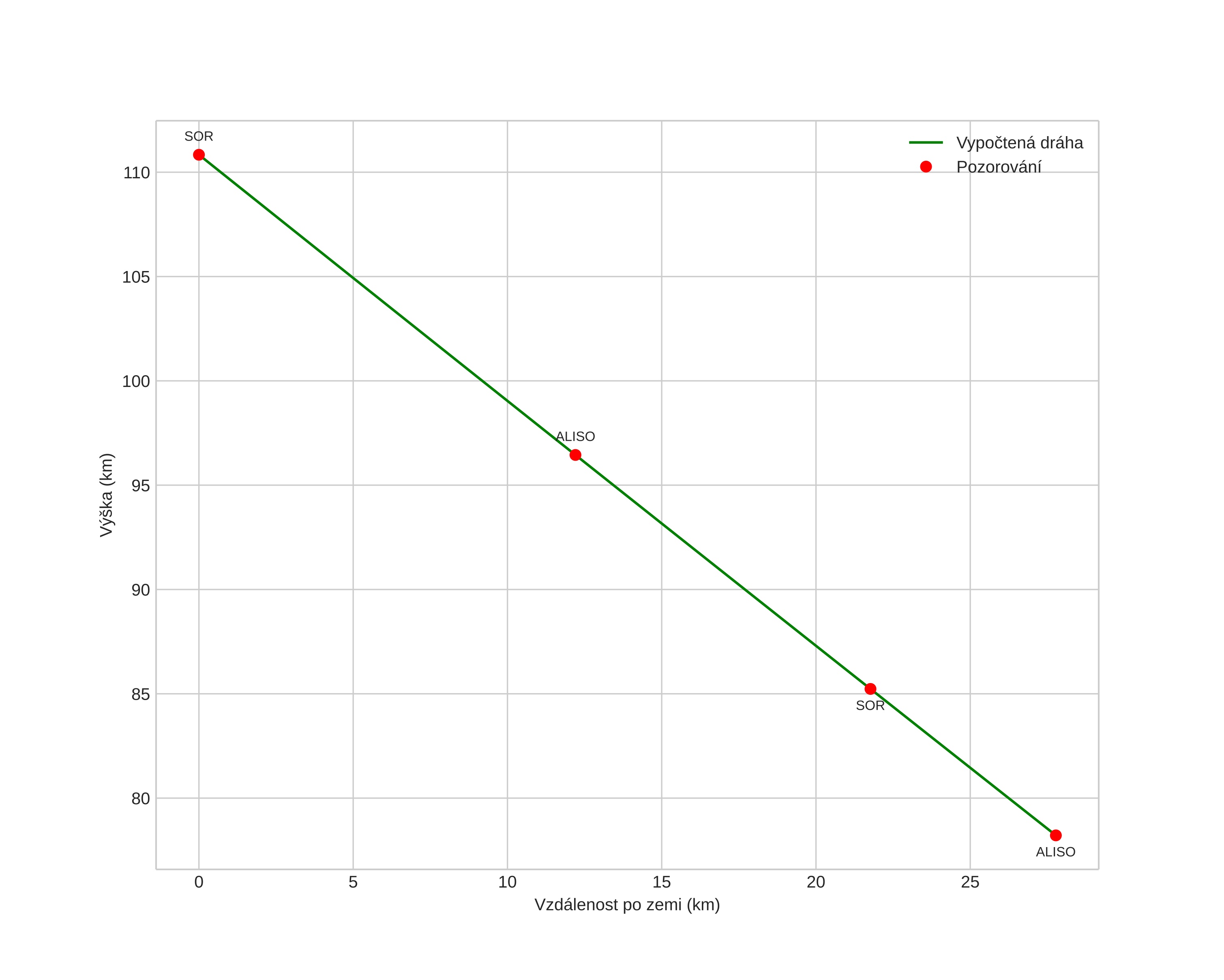
height profile
Atmosférická dráha meteoru:
Počáteční výška: 111,0 km
Konečná výška: 78,3 km
Počáteční poloha: 67,612N 17,878E
Konečná poloha: 67,744N 17,316E
Směr: 302,0°
Sklon: 49,6°
VstupnĂ­ rychlost: 61,5 km/s
Rektascenze radiantu: 13:16 (199,1°)
Deklinace radiantu: 34,7°
MeteorickĂ˝ roj: sporadickĂ˝
Elementy dráhy meteoroidu:
Vzdálenost v periheliu: 0,765 AU
Excentricita: 1,237
Sklon dráhy: 105,7°
Délka vzestupného uzlu: 242,1°
Argument perihelia: 126,4°
Střední anomálie: 4,9°
Epocha: 2020 NOV 24 05:03:13
orbit plot

NeinteraktivnĂ­ graf | InteraktivnĂ­ graf

position vs time
speed and acceleration