🇳🇴 🇬🇧 🇩🇪 🇨🇿 🇫🇮

Meteor Narvikin yllä 2020-11-24 05:03:13 UTC

KML-tiedosto  |  Interaktiivinen kartta

Kartta näyttää meteorin suuntahavainnot. Vaaleammat viivat näyttävät suunnat havaintoasemilta meteorin ilmestyessä, ja tummemmat viivat näyttävät, missä se viimeksi nähtiin. Sininen nuoli näyttää meteorin näkyvän lennon.

static map
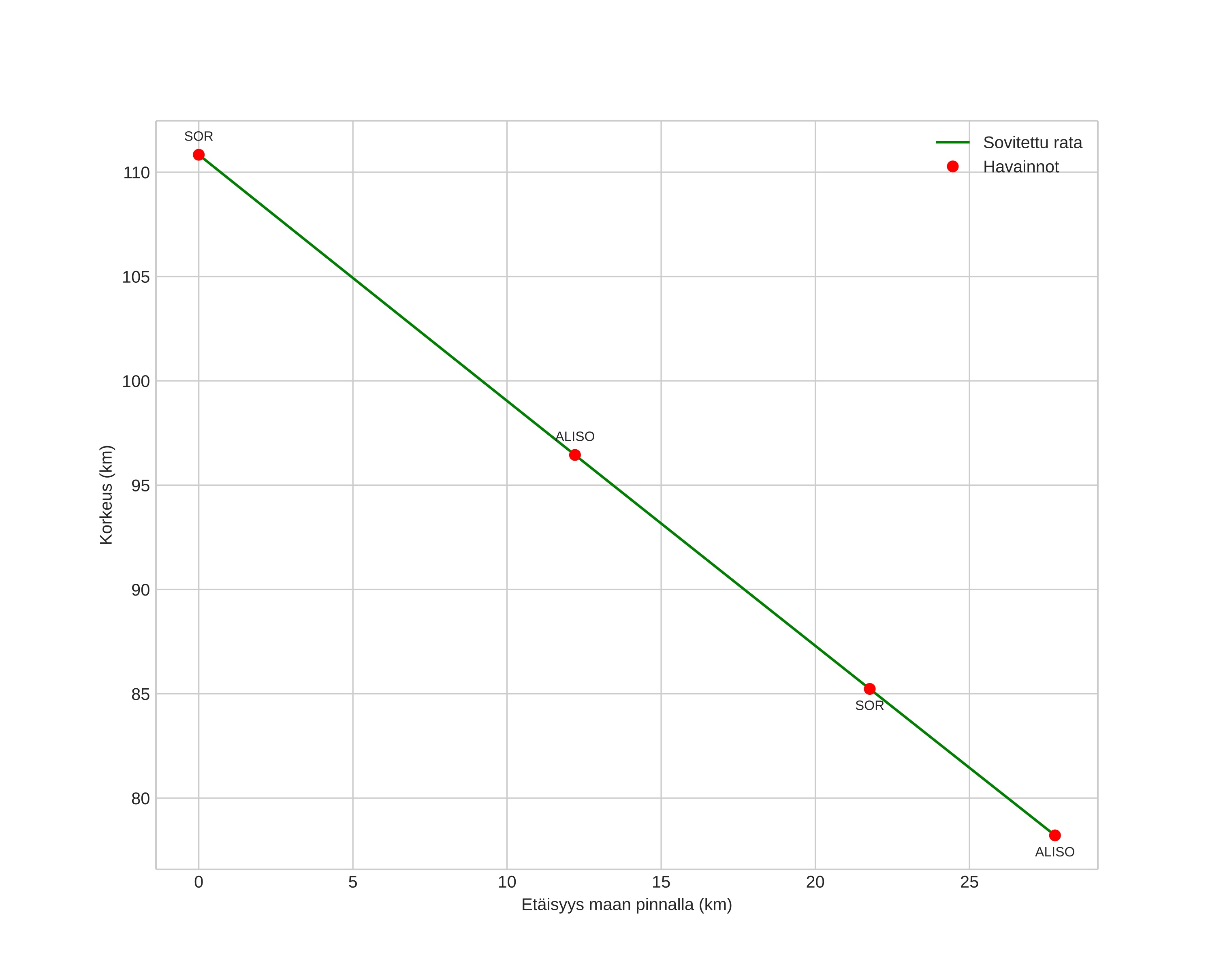
height profile
Meteorin ilmakehärata:
Alkukorkeus: 111,0 km
Loppukorkeus: 78,3 km
Alkupiste: 67,612N 17,878E
Loppupiste: 67,744N 17,316E
Suunta: 302,0°
Kallistuskulma: 49,6°
Tulonopeus: 61,5 km/s
Radiantin R,A,: 13:16 (199,1°)
Radiantin Dekl,: 34,7°
Meteoriparvi: Sporadinen
Meteoroidin rataelementit:
Perihelietäisyys: 0,765 AU
Eksentrisyys: 1,237
Inklinaatio: 105,7°
Nousevan solmun pituus: 242,1°
Perihelin argumentti: 126,4°
Keskianomalia: 4,9°
Epookki: 2020 NOV 24 05:03:13
orbit plot

Ei-interaktiivinen kuvaaja | Interaktiivinen kuvaaja

position vs time
speed and acceleration