🇳🇴 🇬🇧 🇩🇪 🇨🇿 🇫🇮

Meteor, poloha: Farsund 2020-11-26 03:55:29 UTC

Soubor KML  |  InteraktivnĂ­ mapa

Mapa zobrazuje dráhy meteoru. Světlejší čáry ukazují směry od pozorovacích stanic při objevení se meteoru a tmavší čáry, kde byl naposledy viděn. Modrá šipka značí viditelnou dráhu meteoru.

static map
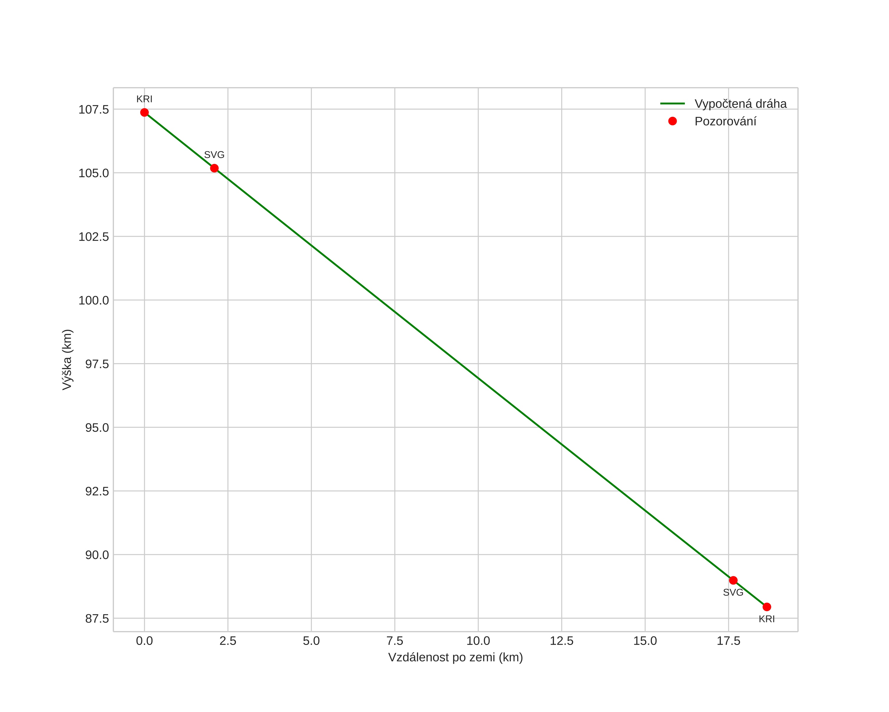
height profile
Atmosférická dráha meteoru:
Počáteční výška: 108,2 km
Konečná výška: 87,8 km
Počáteční poloha: 57,249N 7,119E
Konečná poloha: 57,376N 6,907E
Směr: 318,0°
Sklon: 46,9°
VstupnĂ­ rychlost: 65,6 km/s
Rektascenze radiantu: 10:40 (160,1°)
Deklinace radiantu: 19,6°
MeteorickĂ˝ roj: Leonidy
Elementy dráhy meteoroidu:
Vzdálenost v periheliu: 0,987 AU
Excentricita: 0,384
Sklon dráhy: 160,7°
Délka vzestupného uzlu: 244,1°
Argument perihelia: 180,7°
Střední anomálie: 359,7°
Epocha: 2020 NOV 26 03:55:29
orbit plot

NeinteraktivnĂ­ graf | InteraktivnĂ­ graf

position vs time
speed and acceleration