🇳🇴 🇬🇧 🇩🇪 🇨🇿 🇫🇮

Meteor Farsundin yllä 2020-11-26 03:55:29 UTC

KML-tiedosto  |  Interaktiivinen kartta

Kartta näyttää meteorin suuntahavainnot. Vaaleammat viivat näyttävät suunnat havaintoasemilta meteorin ilmestyessä, ja tummemmat viivat näyttävät, missä se viimeksi nähtiin. Sininen nuoli näyttää meteorin näkyvän lennon.

static map
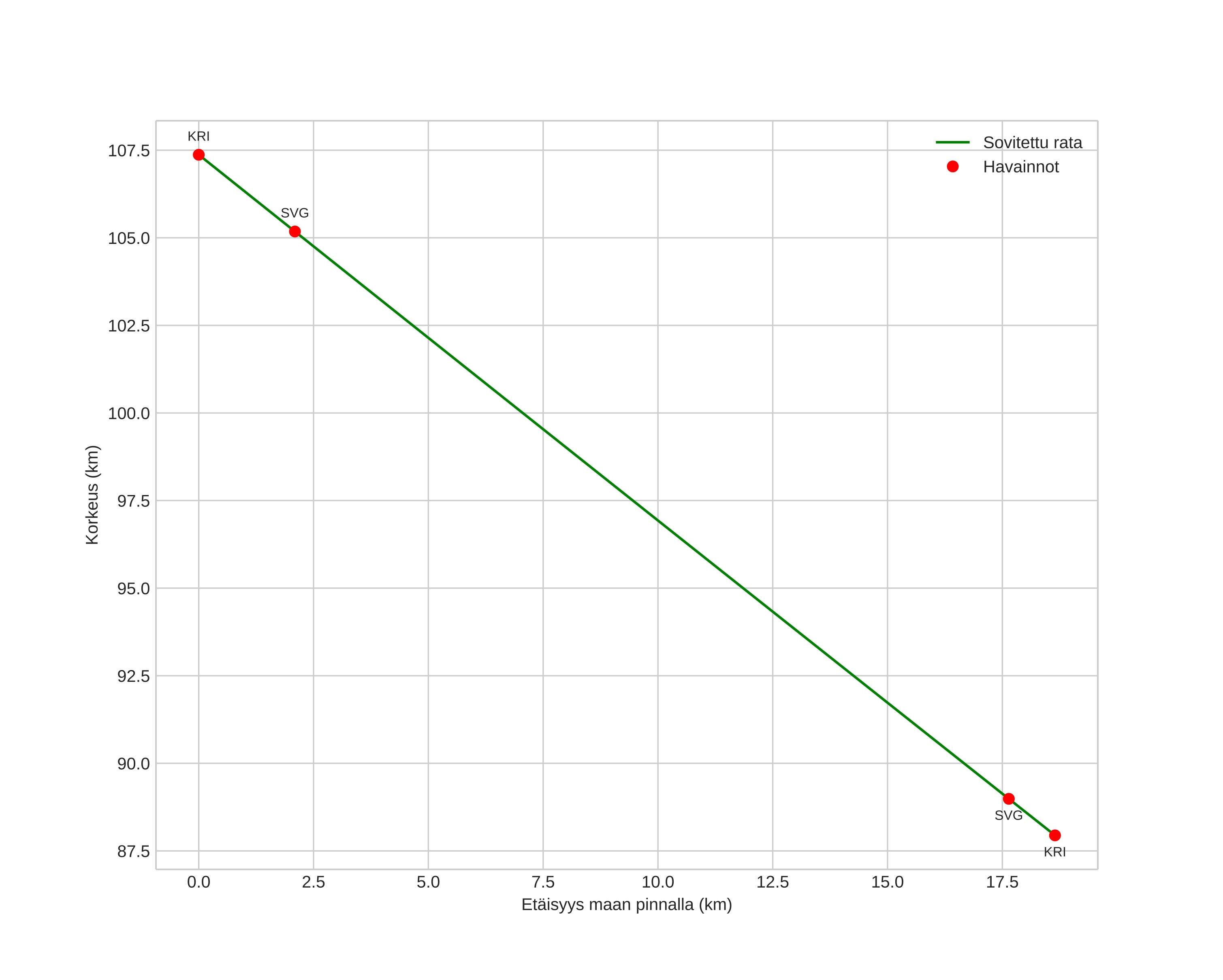
height profile
Meteorin ilmakehärata:
Alkukorkeus: 108,2 km
Loppukorkeus: 87,8 km
Alkupiste: 57,249N 7,119E
Loppupiste: 57,376N 6,907E
Suunta: 318,0°
Kallistuskulma: 46,9°
Tulonopeus: 65,6 km/s
Radiantin R,A,: 10:40 (160,1°)
Radiantin Dekl,: 19,6°
Meteoriparvi: Leonidit
Meteoroidin rataelementit:
Perihelietäisyys: 0,987 AU
Eksentrisyys: 0,384
Inklinaatio: 160,7°
Nousevan solmun pituus: 244,1°
Perihelin argumentti: 180,7°
Keskianomalia: 359,7°
Epookki: 2020 NOV 26 03:55:29
orbit plot

Ei-interaktiivinen kuvaaja | Interaktiivinen kuvaaja

position vs time
speed and acceleration