🇳🇴 🇬🇧 🇩🇪 🇨🇿 🇫🇮

Meteor, poloha: Elling 2020-11-26 04:59:17 UTC

Soubor KML  |  InteraktivnĂ­ mapa

Mapa zobrazuje dráhy meteoru. Světlejší čáry ukazují směry od pozorovacích stanic při objevení se meteoru a tmavší čáry, kde byl naposledy viděn. Modrá šipka značí viditelnou dráhu meteoru.

static map
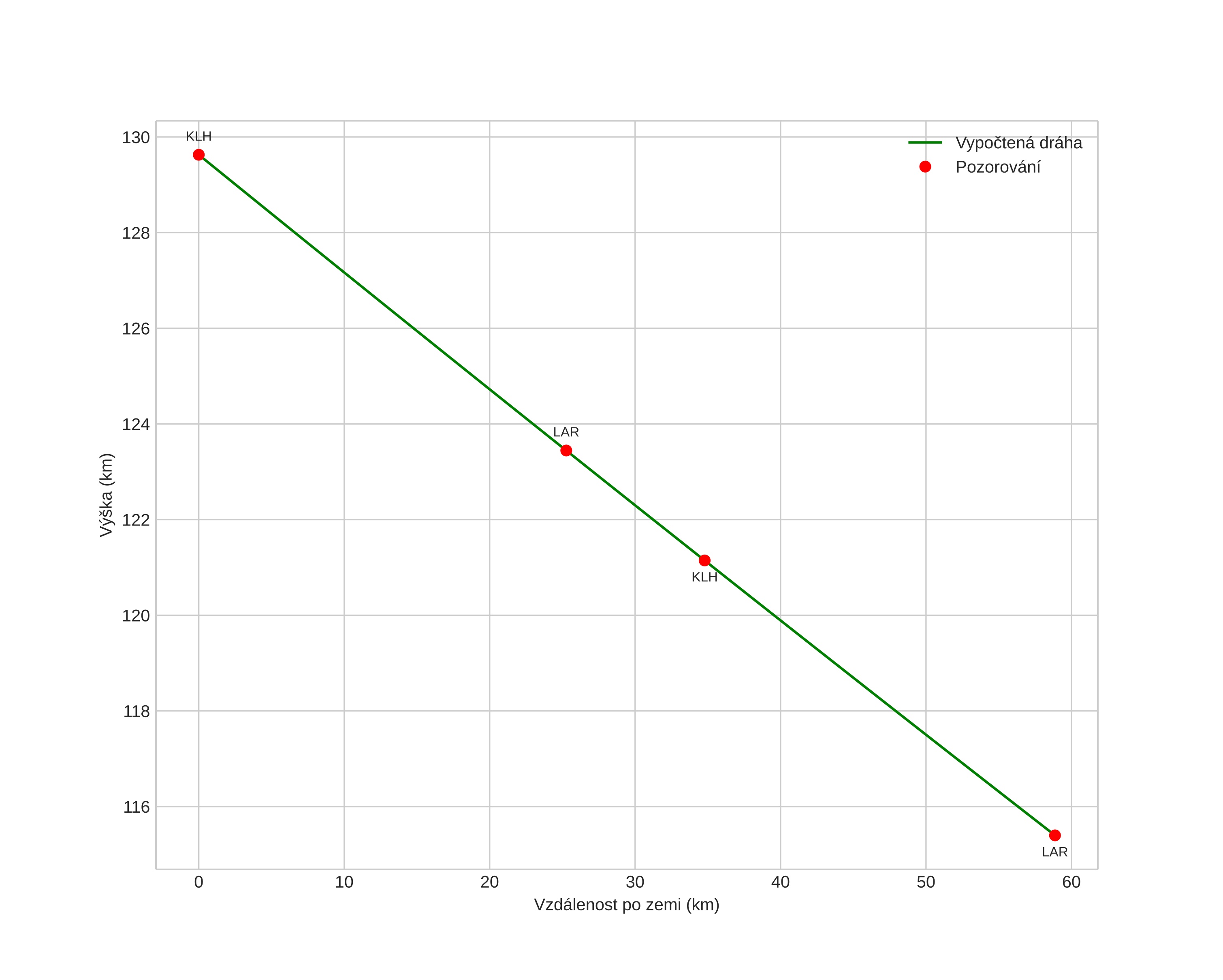
height profile
Atmosférická dráha meteoru:
Počáteční výška: 130,1 km
Konečná výška: 116,1 km
Počáteční poloha: 57,451N 11,312E
Konečná poloha: 57,469N 10,359E
Směr: 272,4°
Sklon: 13,8°
VstupnĂ­ rychlost: 54,4 km/s
Rektascenze radiantu: 15:29 (232,4°)
Deklinace radiantu: 9,6°
MeteorickĂ˝ roj: sporadickĂ˝
Elementy dráhy meteoroidu:
Vzdálenost v periheliu: 0,390 AU
Excentricita: 1,469
Sklon dráhy: 56,2°
Délka vzestupného uzlu: 244,1°
Argument perihelia: 89,0°
Střední anomálie: 38,3°
Epocha: 2020 NOV 26 04:59:17
orbit plot

NeinteraktivnĂ­ graf | InteraktivnĂ­ graf

position vs time
speed and acceleration