🇳🇴 🇬🇧 🇩🇪 🇨🇿 🇫🇮

Meteor Ellingin yllä 2020-11-26 04:59:17 UTC

KML-tiedosto  |  Interaktiivinen kartta

Kartta näyttää meteorin suuntahavainnot. Vaaleammat viivat näyttävät suunnat havaintoasemilta meteorin ilmestyessä, ja tummemmat viivat näyttävät, missä se viimeksi nähtiin. Sininen nuoli näyttää meteorin näkyvän lennon.

static map
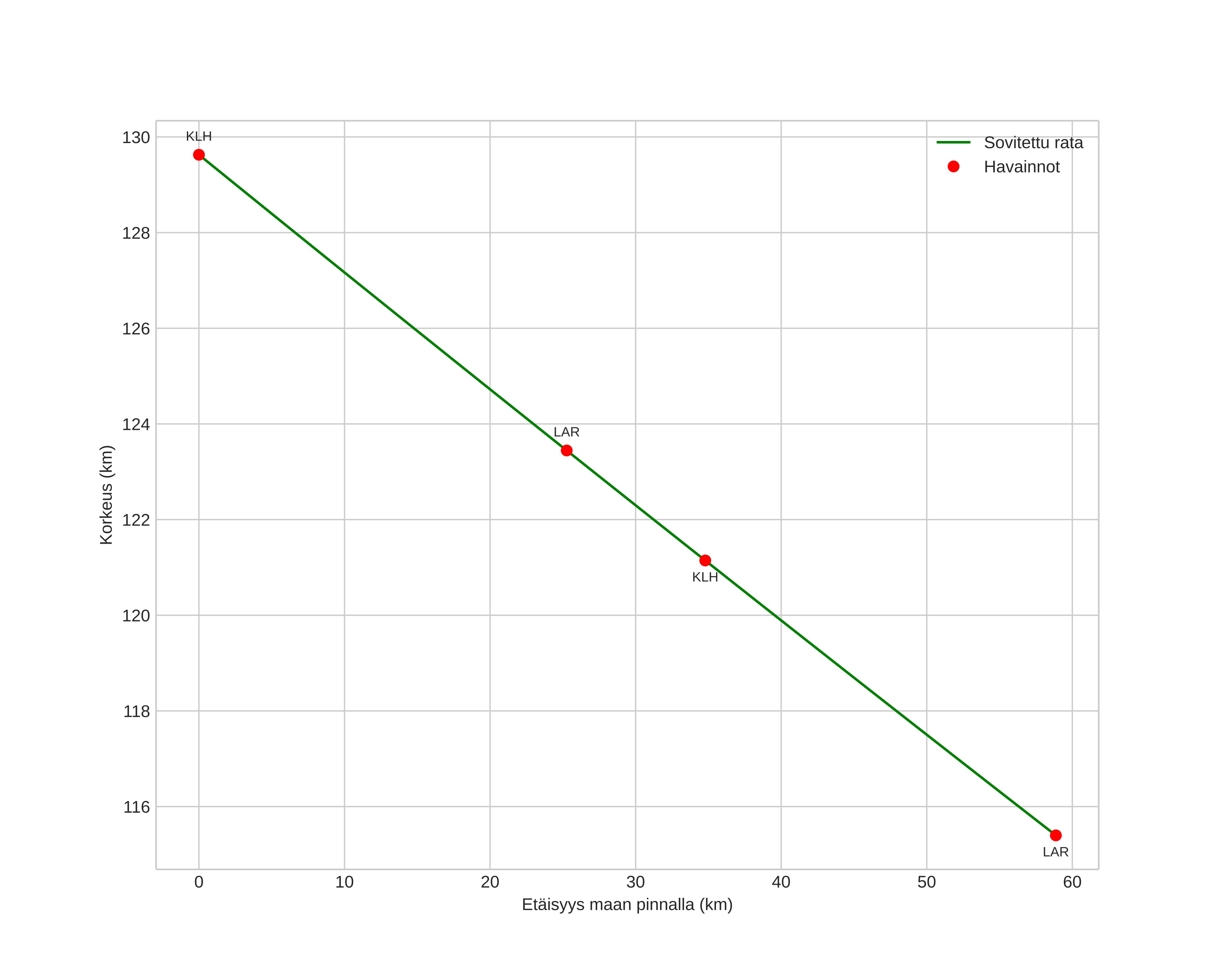
height profile
Meteorin ilmakehärata:
Alkukorkeus: 130,1 km
Loppukorkeus: 116,1 km
Alkupiste: 57,451N 11,312E
Loppupiste: 57,469N 10,359E
Suunta: 272,4°
Kallistuskulma: 13,8°
Tulonopeus: 54,4 km/s
Radiantin R,A,: 15:29 (232,4°)
Radiantin Dekl,: 9,6°
Meteoriparvi: Sporadinen
Meteoroidin rataelementit:
Perihelietäisyys: 0,390 AU
Eksentrisyys: 1,469
Inklinaatio: 56,2°
Nousevan solmun pituus: 244,1°
Perihelin argumentti: 89,0°
Keskianomalia: 38,3°
Epookki: 2020 NOV 26 04:59:17
orbit plot

Ei-interaktiivinen kuvaaja | Interaktiivinen kuvaaja

position vs time
speed and acceleration