🇳🇴 🇬🇧 🇩🇪 🇨🇿 🇫🇮

Meteor, poloha: Vestbygd 2020-11-26 23:13:24 UTC

Soubor KML  |  InteraktivnĂ­ mapa

Mapa zobrazuje dráhy meteoru. Světlejší čáry ukazují směry od pozorovacích stanic při objevení se meteoru a tmavší čáry, kde byl naposledy viděn. Modrá šipka značí viditelnou dráhu meteoru.

static map
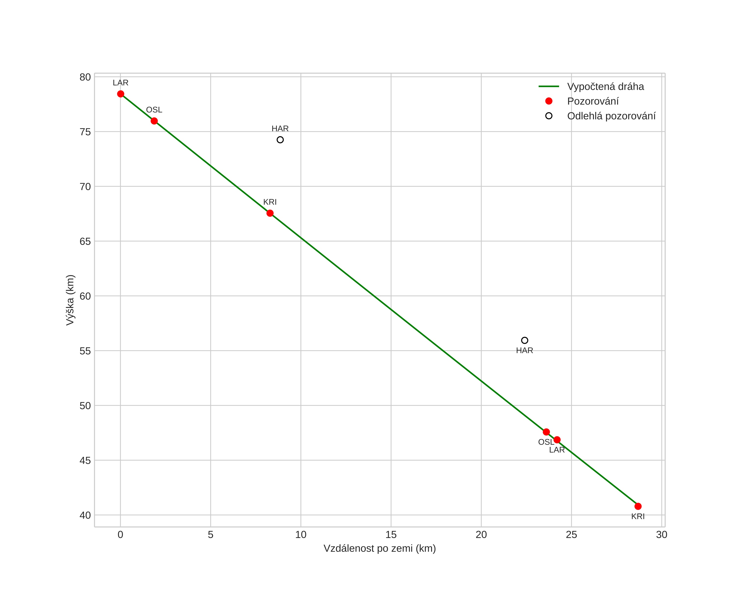
height profile
Atmosférická dráha meteoru:
Počáteční výška: 89,6 km
Konečná výška: 56,0 km
Počáteční poloha: 56,546N 6,337E
Konečná poloha: 56,698N 6,210E
Směr: 335,4°
Sklon: 61,0°
VstupnĂ­ rychlost: 27,0 km/s
Rektascenze radiantu: 04:54 (73,7°)
Deklinace radiantu: 27,7°
MeteorickĂ˝ roj: SevernĂ­ Tauridy
Elementy dráhy meteoroidu:
Vzdálenost v periheliu: 0,416 AU
Excentricita: 0,744
Sklon dráhy: 4,9°
Délka vzestupného uzlu: 244,9°
Argument perihelia: 290,8°
Střední anomálie: 338,2°
Epocha: 2020 NOV 26 23:13:24
orbit plot

NeinteraktivnĂ­ graf | InteraktivnĂ­ graf

position vs time
speed and acceleration