🇳🇴 🇬🇧 🇩🇪 🇨🇿 🇫🇮

Meteor Vestbygdin yllä 2020-11-26 23:13:24 UTC

KML-tiedosto  |  Interaktiivinen kartta

Kartta näyttää meteorin suuntahavainnot. Vaaleammat viivat näyttävät suunnat havaintoasemilta meteorin ilmestyessä, ja tummemmat viivat näyttävät, missä se viimeksi nähtiin. Sininen nuoli näyttää meteorin näkyvän lennon.

static map
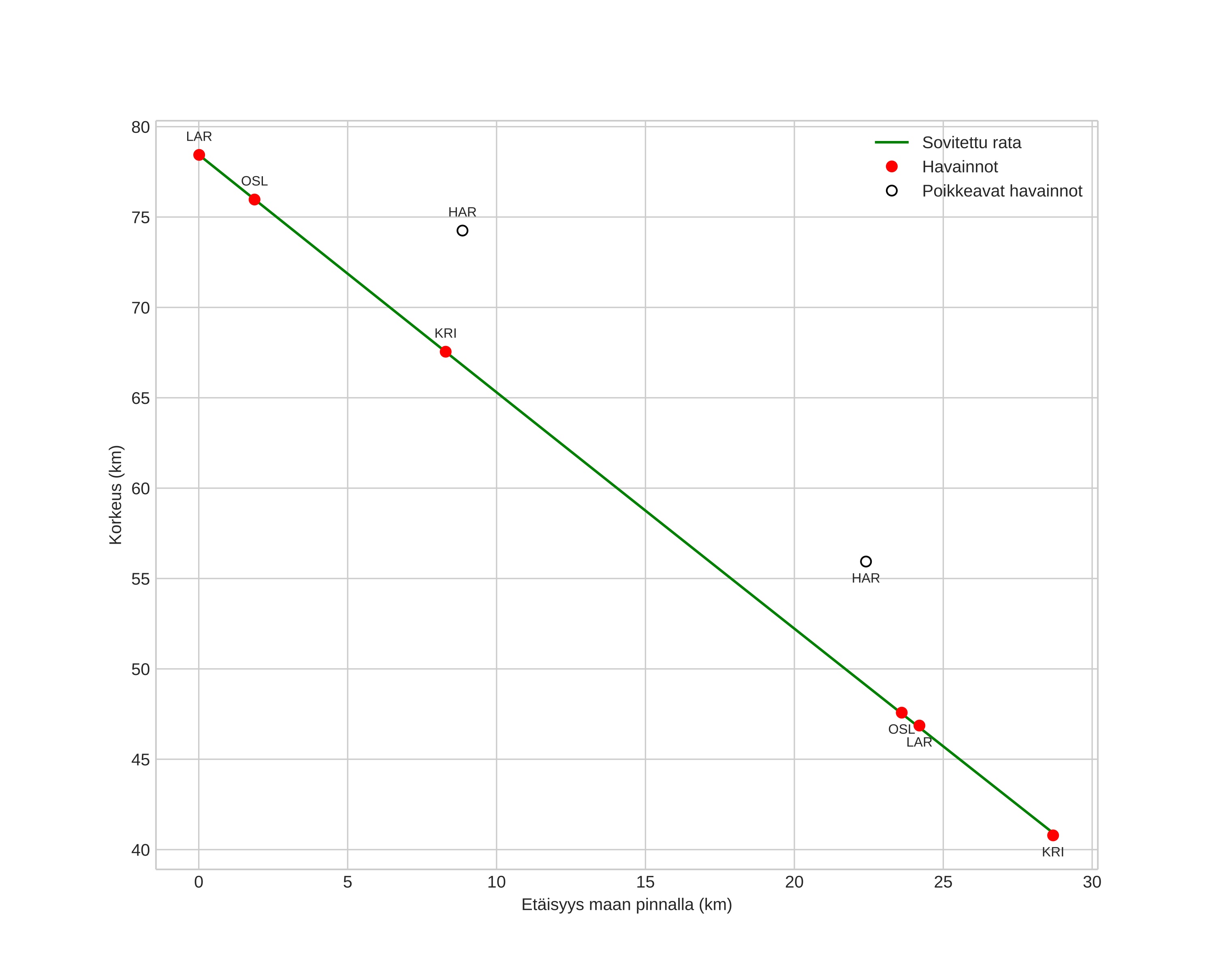
height profile
Meteorin ilmakehärata:
Alkukorkeus: 89,6 km
Loppukorkeus: 56,0 km
Alkupiste: 56,546N 6,337E
Loppupiste: 56,698N 6,210E
Suunta: 335,4°
Kallistuskulma: 61,0°
Tulonopeus: 27,0 km/s
Radiantin R,A,: 04:54 (73,7°)
Radiantin Dekl,: 27,7°
Meteoriparvi: Pohjoiset tauridit
Meteoroidin rataelementit:
Perihelietäisyys: 0,416 AU
Eksentrisyys: 0,744
Inklinaatio: 4,9°
Nousevan solmun pituus: 244,9°
Perihelin argumentti: 290,8°
Keskianomalia: 338,2°
Epookki: 2020 NOV 26 23:13:24
orbit plot

Ei-interaktiivinen kuvaaja | Interaktiivinen kuvaaja

position vs time
speed and acceleration