🇳🇴 🇬🇧 🇩🇪 🇨🇿 🇫🇮

Meteor, poloha: Hov 2020-11-26 23:33:09 UTC

Soubor KML  |  InteraktivnĂ­ mapa

Mapa zobrazuje dráhy meteoru. Světlejší čáry ukazují směry od pozorovacích stanic při objevení se meteoru a tmavší čáry, kde byl naposledy viděn. Modrá šipka značí viditelnou dráhu meteoru.

static map
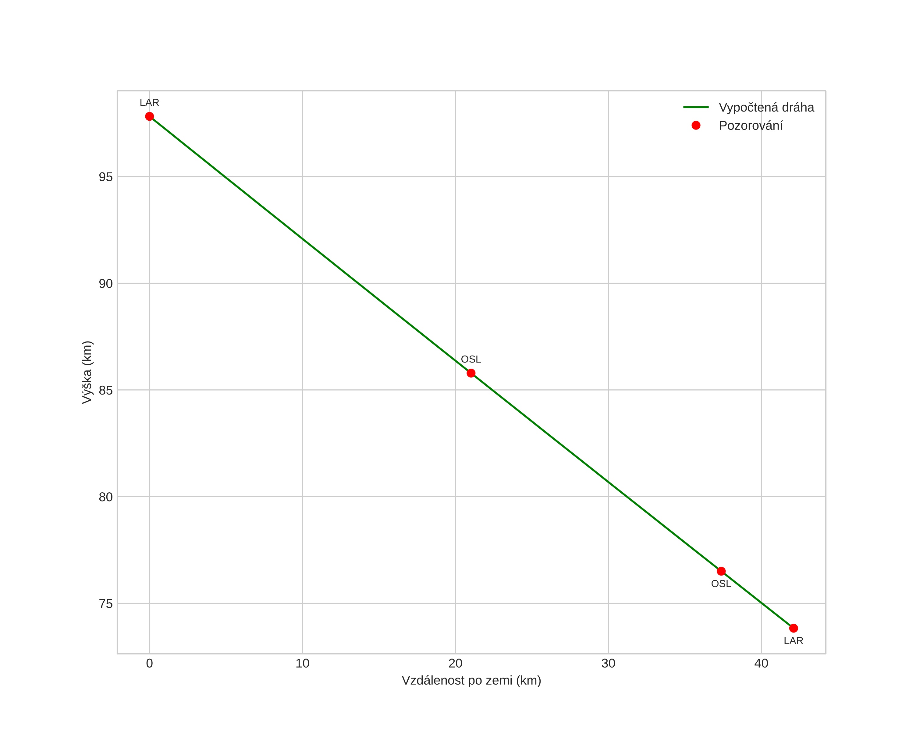
height profile
Atmosférická dráha meteoru:
Počáteční výška: 93,2 km
Konečná výška: 73,9 km
Počáteční poloha: 60,291N 10,322E
Konečná poloha: 60,606N 10,329E
Směr: 0,7°
Sklon: 28,8°
VstupnĂ­ rychlost: 30,0 km/s
Rektascenze radiantu: 04:34 (68,6°)
Deklinace radiantu: -3,4°
MeteorickĂ˝ roj: sporadickĂ˝
Elementy dráhy meteoroidu:
Vzdálenost v periheliu: 0,582 AU
Excentricita: 0,912
Sklon dráhy: 21,8°
Délka vzestupného uzlu: 64,9°
Argument perihelia: 81,9°
Střední anomálie: 357,7°
Epocha: 2020 NOV 26 23:33:09
orbit plot

NeinteraktivnĂ­ graf | InteraktivnĂ­ graf

position vs time
speed and acceleration