🇳🇴 🇬🇧 🇩🇪 🇨🇿 🇫🇮

Meteor Hovin yllä 2020-11-26 23:33:09 UTC

KML-tiedosto  |  Interaktiivinen kartta

Kartta näyttää meteorin suuntahavainnot. Vaaleammat viivat näyttävät suunnat havaintoasemilta meteorin ilmestyessä, ja tummemmat viivat näyttävät, missä se viimeksi nähtiin. Sininen nuoli näyttää meteorin näkyvän lennon.

static map
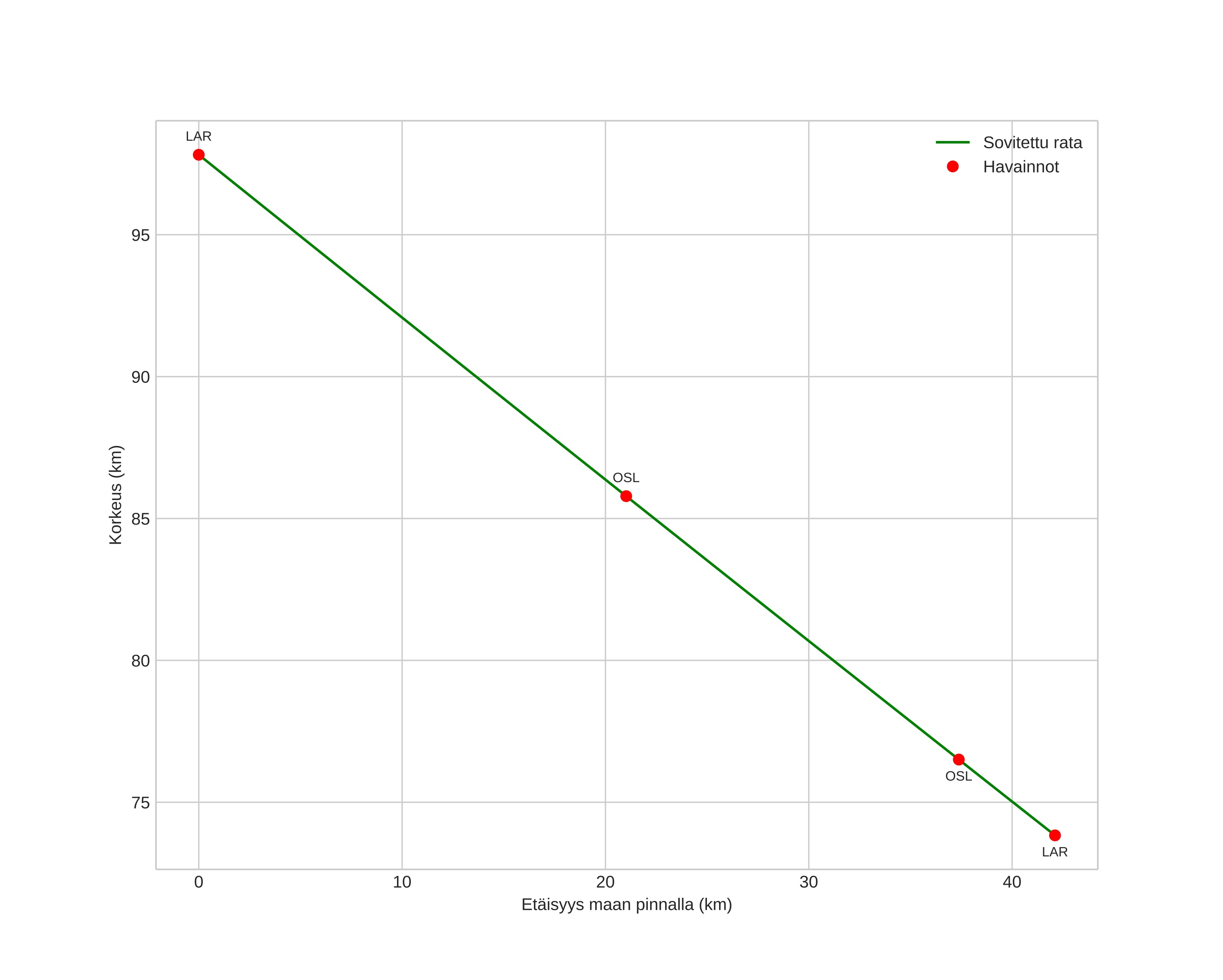
height profile
Meteorin ilmakehärata:
Alkukorkeus: 93,2 km
Loppukorkeus: 73,9 km
Alkupiste: 60,291N 10,322E
Loppupiste: 60,606N 10,329E
Suunta: 0,7°
Kallistuskulma: 28,8°
Tulonopeus: 30,0 km/s
Radiantin R,A,: 04:34 (68,6°)
Radiantin Dekl,: -3,4°
Meteoriparvi: Sporadinen
Meteoroidin rataelementit:
Perihelietäisyys: 0,582 AU
Eksentrisyys: 0,912
Inklinaatio: 21,8°
Nousevan solmun pituus: 64,9°
Perihelin argumentti: 81,9°
Keskianomalia: 357,7°
Epookki: 2020 NOV 26 23:33:09
orbit plot

Ei-interaktiivinen kuvaaja | Interaktiivinen kuvaaja

position vs time
speed and acceleration