🇳🇴 🇬🇧 🇩🇪 🇨🇿 🇫🇮

Meteor, poloha: Hov 2020-11-26 23:33:10 UTC

Soubor KML  |  InteraktivnĂ­ mapa

Mapa zobrazuje dráhy meteoru. Světlejší čáry ukazují směry od pozorovacích stanic při objevení se meteoru a tmavší čáry, kde byl naposledy viděn. Modrá šipka značí viditelnou dráhu meteoru.

static map
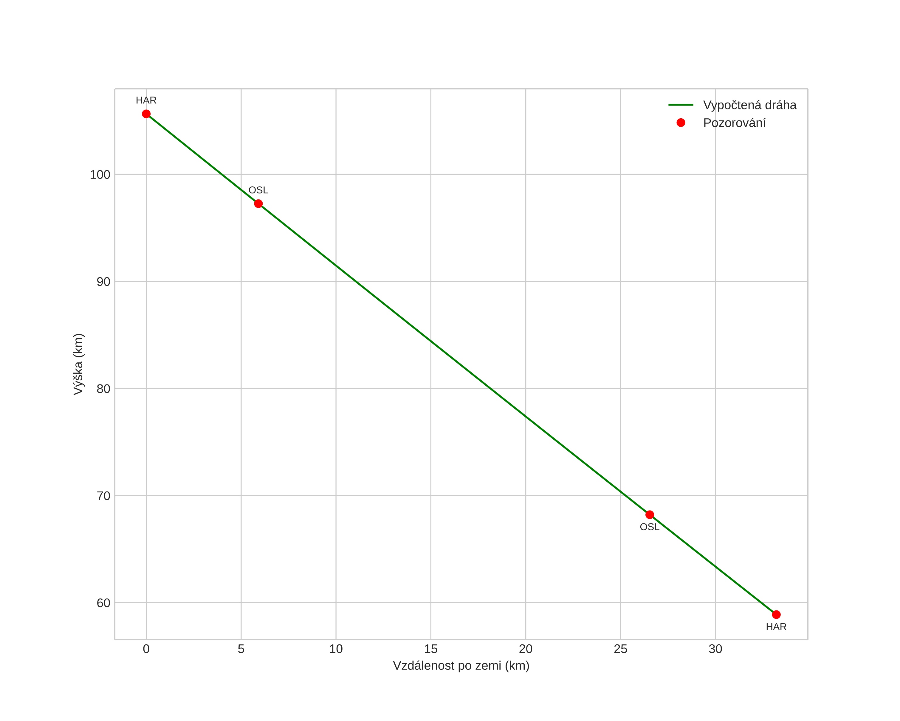
height profile
Atmosférická dráha meteoru:
Počáteční výška: 93,2 km
Konečná výška: 66,4 km
Počáteční poloha: 60,274N 10,326E
Konečná poloha: 60,589N 10,359E
Směr: 3,0°
Sklon: 37,4°
VstupnĂ­ rychlost: 31,0 km/s
Rektascenze radiantu: 04:26 (66,7°)
Deklinace radiantu: 5,6°
MeteorickĂ˝ roj: sporadickĂ˝
Elementy dráhy meteoroidu:
Vzdálenost v periheliu: 0,528 AU
Excentricita: 0,964
Sklon dráhy: 14,9°
Délka vzestupného uzlu: 64,9°
Argument perihelia: 87,0°
Střední anomálie: 359,3°
Epocha: 2020 NOV 26 23:33:10
orbit plot

NeinteraktivnĂ­ graf | InteraktivnĂ­ graf

position vs time
speed and acceleration