🇳🇴 🇬🇧 🇩🇪 🇨🇿 🇫🇮

Meteor Hovin yllä 2020-11-26 23:33:10 UTC

KML-tiedosto  |  Interaktiivinen kartta

Kartta näyttää meteorin suuntahavainnot. Vaaleammat viivat näyttävät suunnat havaintoasemilta meteorin ilmestyessä, ja tummemmat viivat näyttävät, missä se viimeksi nähtiin. Sininen nuoli näyttää meteorin näkyvän lennon.

static map
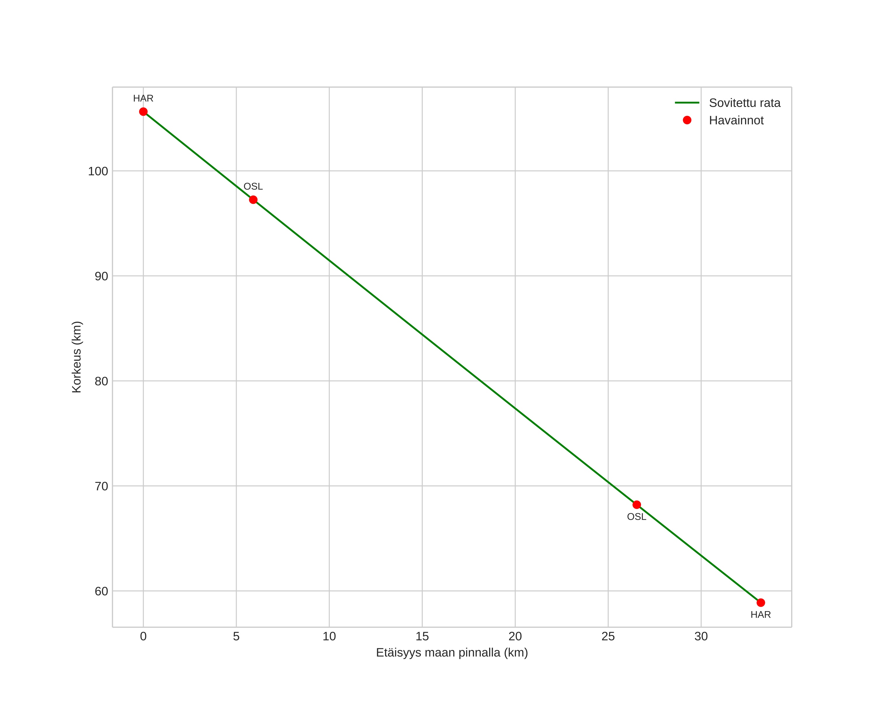
height profile
Meteorin ilmakehärata:
Alkukorkeus: 93,2 km
Loppukorkeus: 66,4 km
Alkupiste: 60,274N 10,326E
Loppupiste: 60,589N 10,359E
Suunta: 3,0°
Kallistuskulma: 37,4°
Tulonopeus: 31,0 km/s
Radiantin R,A,: 04:26 (66,7°)
Radiantin Dekl,: 5,6°
Meteoriparvi: Sporadinen
Meteoroidin rataelementit:
Perihelietäisyys: 0,528 AU
Eksentrisyys: 0,964
Inklinaatio: 14,9°
Nousevan solmun pituus: 64,9°
Perihelin argumentti: 87,0°
Keskianomalia: 359,3°
Epookki: 2020 NOV 26 23:33:10
orbit plot

Ei-interaktiivinen kuvaaja | Interaktiivinen kuvaaja

position vs time
speed and acceleration