🇳🇴 🇬🇧 🇩🇪 🇨🇿 🇫🇮

Meteor, poloha: Hvittingfoss 2020-11-27 00:49:21 UTC

Soubor KML  |  InteraktivnĂ­ mapa

Mapa zobrazuje dráhy meteoru. Světlejší čáry ukazují směry od pozorovacích stanic při objevení se meteoru a tmavší čáry, kde byl naposledy viděn. Modrá šipka značí viditelnou dráhu meteoru.

static map
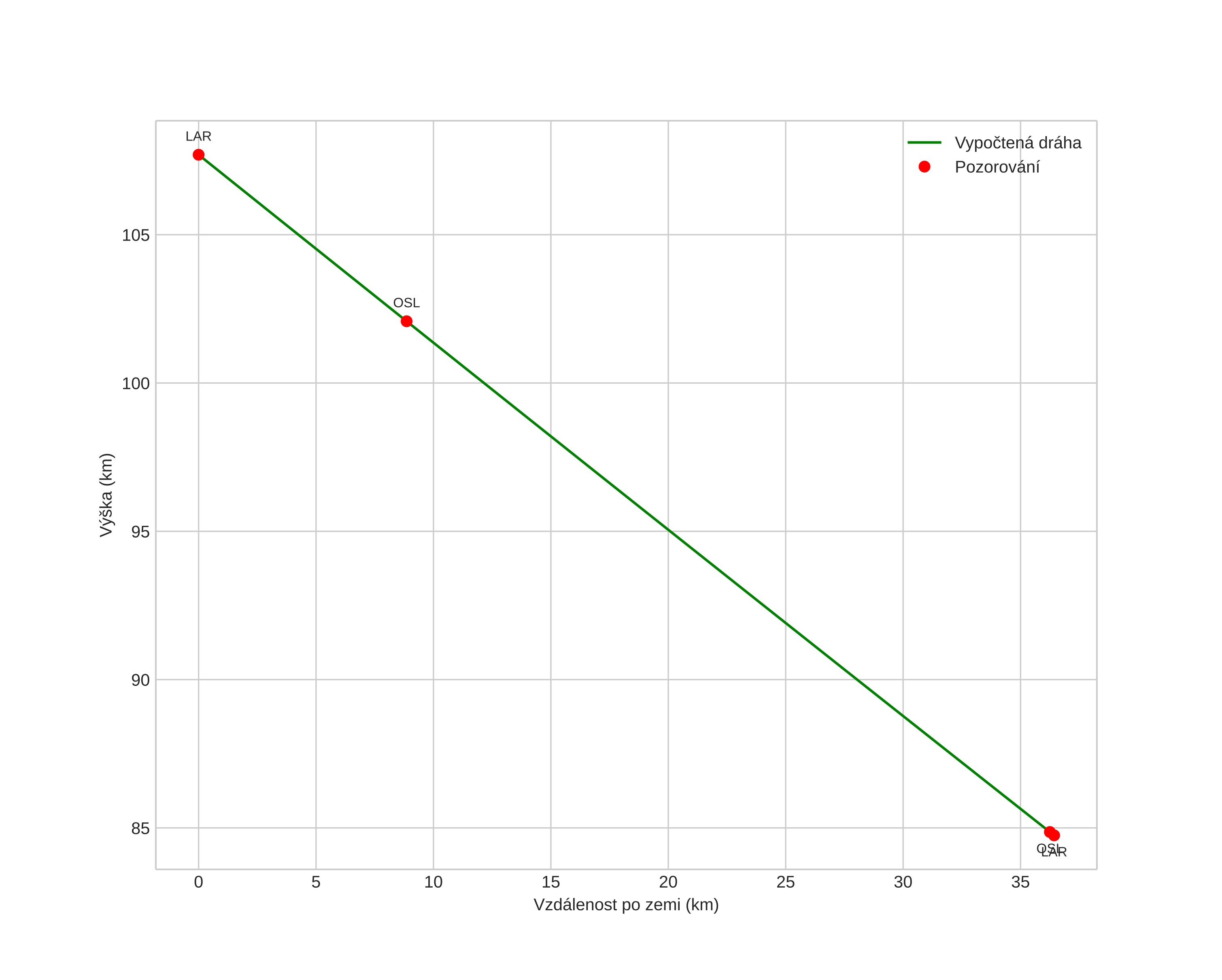
height profile
Atmosférická dráha meteoru:
Počáteční výška: 109,0 km
Konečná výška: 85,5 km
Počáteční poloha: 59,105N 10,431E
Konečná poloha: 59,386N 10,075E
Směr: 327,3°
Sklon: 32,2°
VstupnĂ­ rychlost: 62,0 km/s
Rektascenze radiantu: 07:44 (116,1°)
Deklinace radiantu: 4,8°
MeteorickĂ˝ roj: sporadickĂ˝
Elementy dráhy meteoroidu:
Vzdálenost v periheliu: 0,297 AU
Excentricita: 1,019
Sklon dráhy: 133,3°
Délka vzestupného uzlu: 64,9°
Argument perihelia: 112,7°
Střední anomálie: -0,6°
Epocha: 2020 NOV 27 00:49:21
orbit plot

NeinteraktivnĂ­ graf | InteraktivnĂ­ graf

position vs time
speed and acceleration