🇳🇴 🇬🇧 🇩🇪 🇨🇿 🇫🇮

Meteor Hvittingfossin yllä 2020-11-27 00:49:21 UTC

KML-tiedosto  |  Interaktiivinen kartta

Kartta näyttää meteorin suuntahavainnot. Vaaleammat viivat näyttävät suunnat havaintoasemilta meteorin ilmestyessä, ja tummemmat viivat näyttävät, missä se viimeksi nähtiin. Sininen nuoli näyttää meteorin näkyvän lennon.

static map
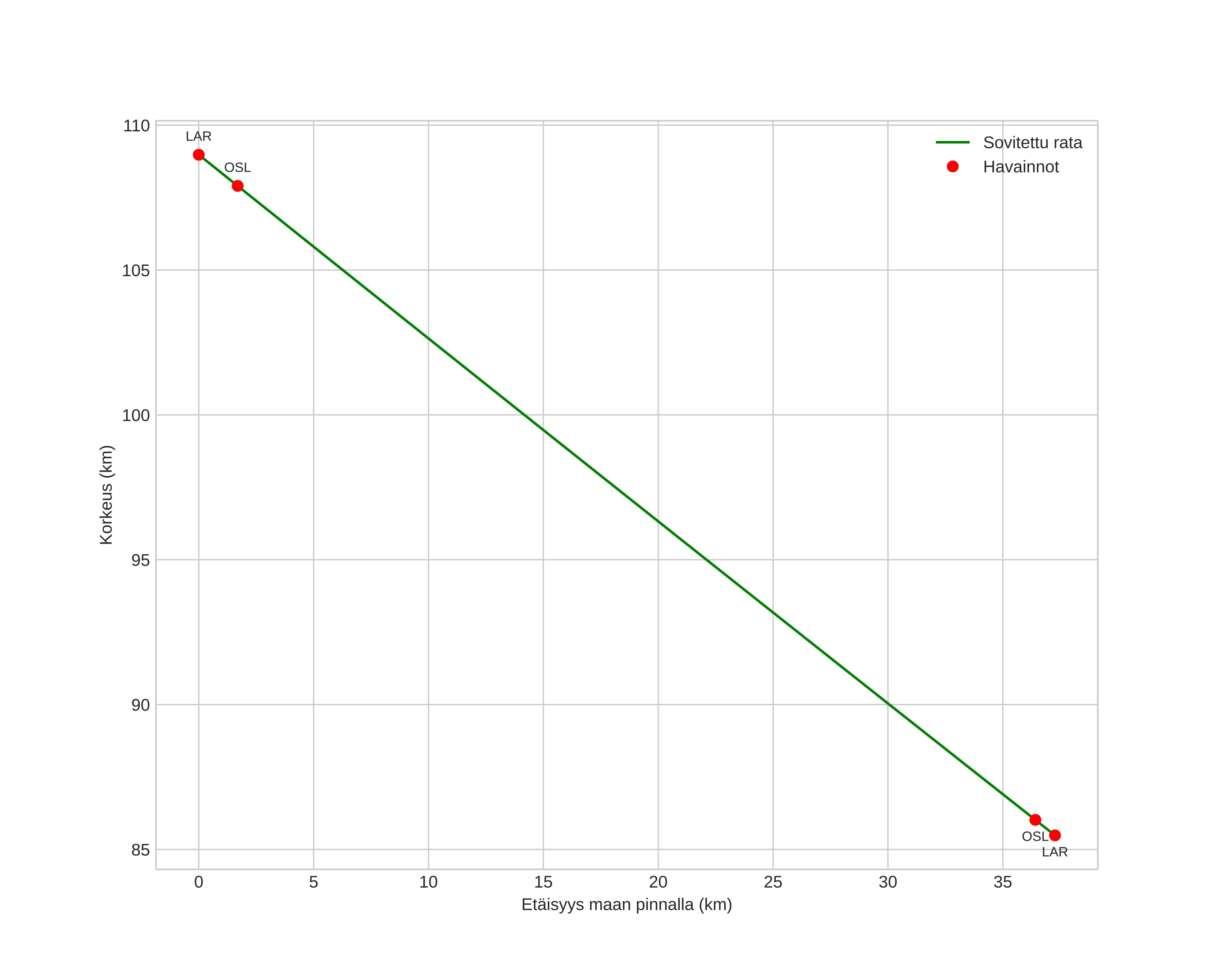
height profile
Meteorin ilmakehärata:
Alkukorkeus: 109,0 km
Loppukorkeus: 85,5 km
Alkupiste: 59,105N 10,431E
Loppupiste: 59,386N 10,075E
Suunta: 327,3°
Kallistuskulma: 32,2°
Tulonopeus: 62,0 km/s
Radiantin R,A,: 07:44 (116,1°)
Radiantin Dekl,: 4,8°
Meteoriparvi: Sporadinen
Meteoroidin rataelementit:
Perihelietäisyys: 0,297 AU
Eksentrisyys: 1,019
Inklinaatio: 133,3°
Nousevan solmun pituus: 64,9°
Perihelin argumentti: 112,7°
Keskianomalia: -0,6°
Epookki: 2020 NOV 27 00:49:21
orbit plot

Ei-interaktiivinen kuvaaja | Interaktiivinen kuvaaja

position vs time
speed and acceleration