🇳🇴 🇬🇧 🇩🇪 🇨🇿 🇫🇮

Meteor, poloha: Hønefoss 2020-11-27 04:25:20 UTC

Soubor KML  |  InteraktivnĂ­ mapa

Mapa zobrazuje dráhy meteoru. Světlejší čáry ukazují směry od pozorovacích stanic při objevení se meteoru a tmavší čáry, kde byl naposledy viděn. Modrá šipka značí viditelnou dráhu meteoru.

static map
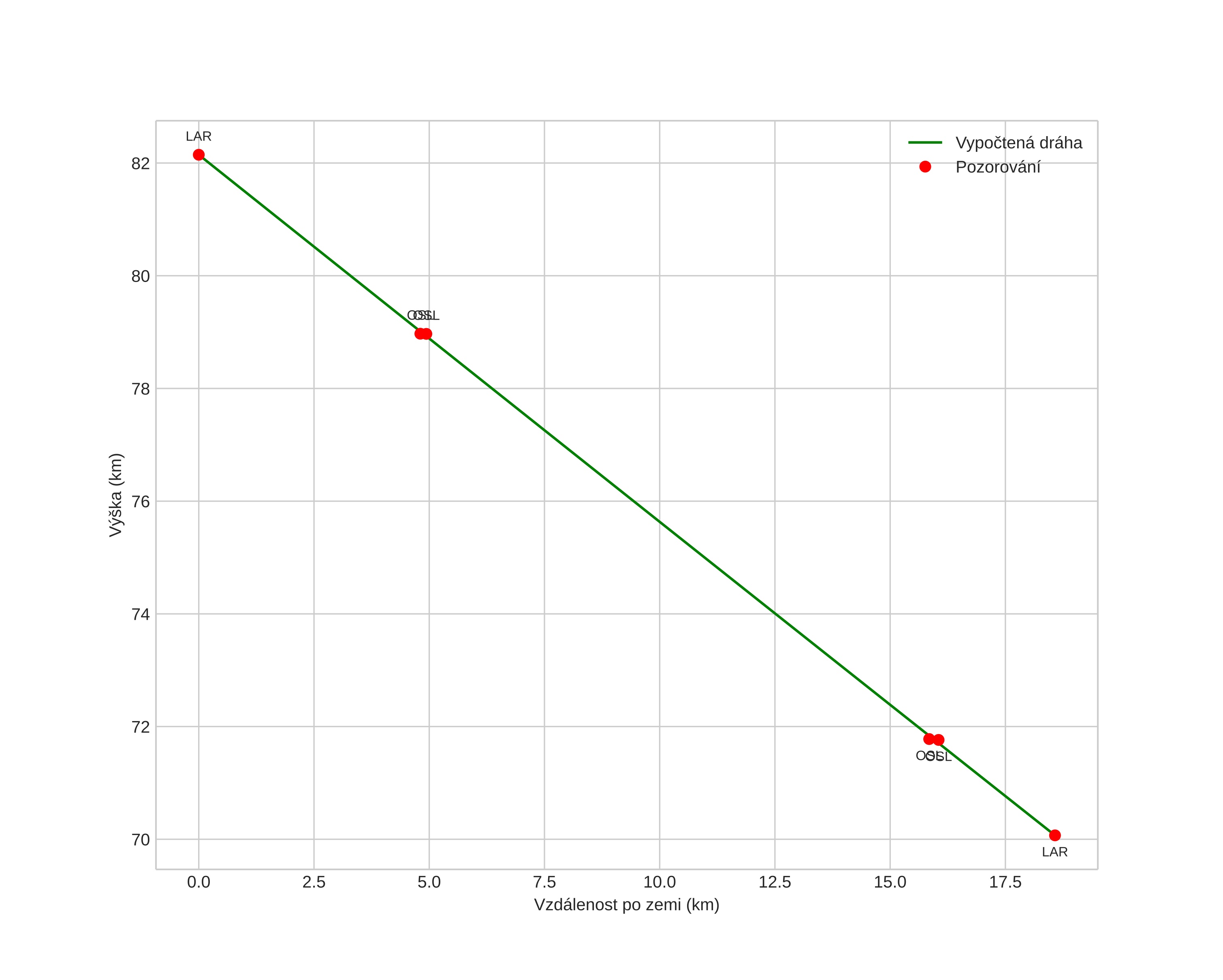
height profile
Atmosférická dráha meteoru:
Počáteční výška: 82,3 km
Konečná výška: 70,2 km
Počáteční poloha: 60,275N 9,636E
Konečná poloha: 60,264N 9,977E
Směr: 93,5°
Sklon: 32,7°
VstupnĂ­ rychlost: 25,9 km/s
Rektascenze radiantu: 04:19 (64,9°)
Deklinace radiantu: 26,7°
MeteorickĂ˝ roj: SevernĂ­ Tauridy
Elementy dráhy meteoroidu:
Vzdálenost v periheliu: 0,527 AU
Excentricita: 0,775
Sklon dráhy: 4,2°
Délka vzestupného uzlu: 245,1°
Argument perihelia: 273,9°
Střední anomálie: 347,9°
Epocha: 2020 NOV 27 04:25:20
orbit plot

NeinteraktivnĂ­ graf | InteraktivnĂ­ graf

position vs time
speed and acceleration