🇳🇴 🇬🇧 🇩🇪 🇨🇿 🇫🇮

Meteor Hønefossin yllä 2020-11-27 04:25:20 UTC

KML-tiedosto  |  Interaktiivinen kartta

Kartta näyttää meteorin suuntahavainnot. Vaaleammat viivat näyttävät suunnat havaintoasemilta meteorin ilmestyessä, ja tummemmat viivat näyttävät, missä se viimeksi nähtiin. Sininen nuoli näyttää meteorin näkyvän lennon.

static map
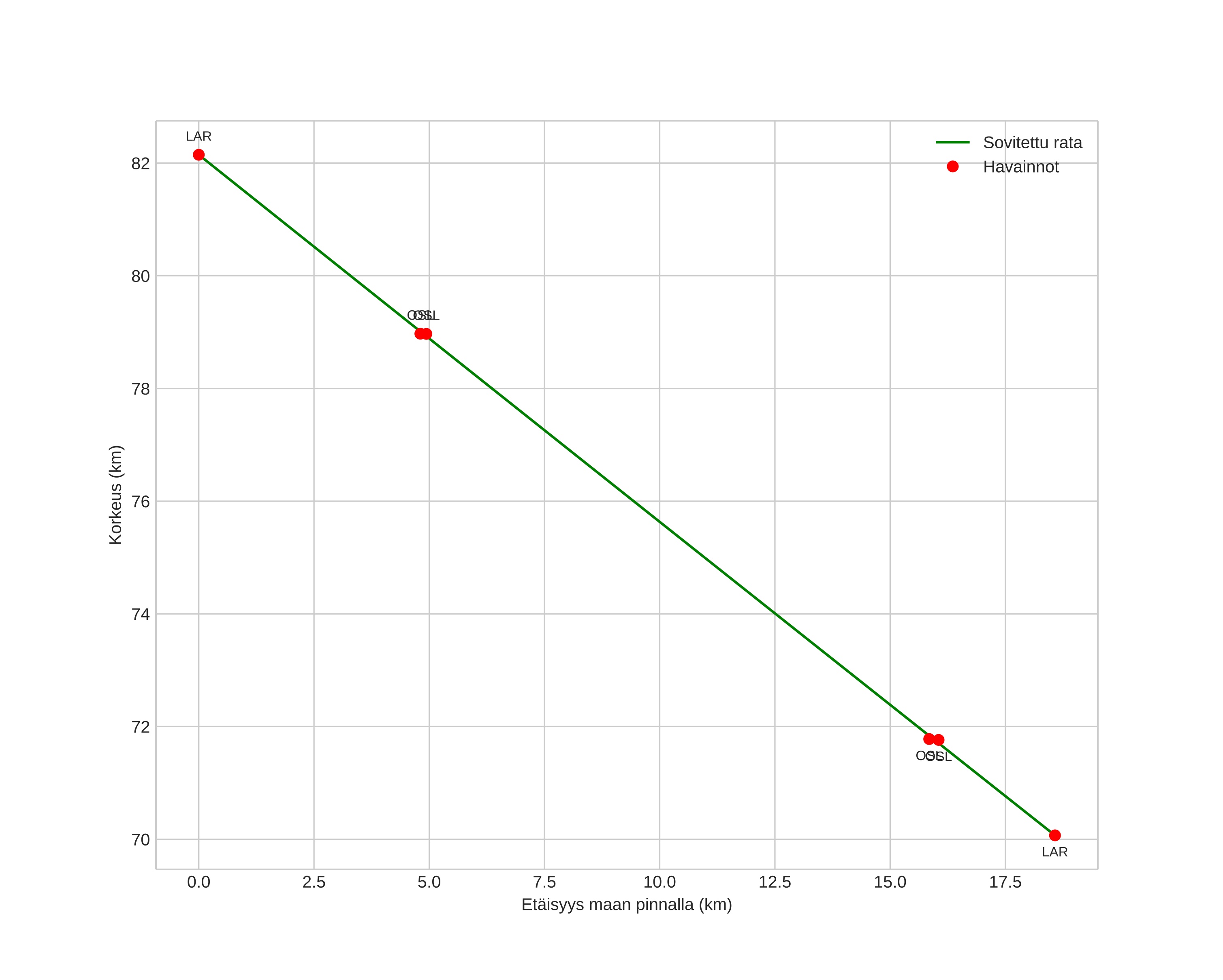
height profile
Meteorin ilmakehärata:
Alkukorkeus: 82,3 km
Loppukorkeus: 70,2 km
Alkupiste: 60,275N 9,636E
Loppupiste: 60,264N 9,977E
Suunta: 93,5°
Kallistuskulma: 32,7°
Tulonopeus: 25,9 km/s
Radiantin R,A,: 04:19 (64,9°)
Radiantin Dekl,: 26,7°
Meteoriparvi: Pohjoiset tauridit
Meteoroidin rataelementit:
Perihelietäisyys: 0,527 AU
Eksentrisyys: 0,775
Inklinaatio: 4,2°
Nousevan solmun pituus: 245,1°
Perihelin argumentti: 273,9°
Keskianomalia: 347,9°
Epookki: 2020 NOV 27 04:25:20
orbit plot

Ei-interaktiivinen kuvaaja | Interaktiivinen kuvaaja

position vs time
speed and acceleration