🇳🇴 🇬🇧 🇩🇪 🇨🇿 🇫🇮

Meteor, poloha: Rotnes 2020-11-27 16:16:26 UTC

Soubor KML  |  InteraktivnĂ­ mapa

Mapa zobrazuje dráhy meteoru. Světlejší čáry ukazují směry od pozorovacích stanic při objevení se meteoru a tmavší čáry, kde byl naposledy viděn. Modrá šipka značí viditelnou dráhu meteoru.

static map
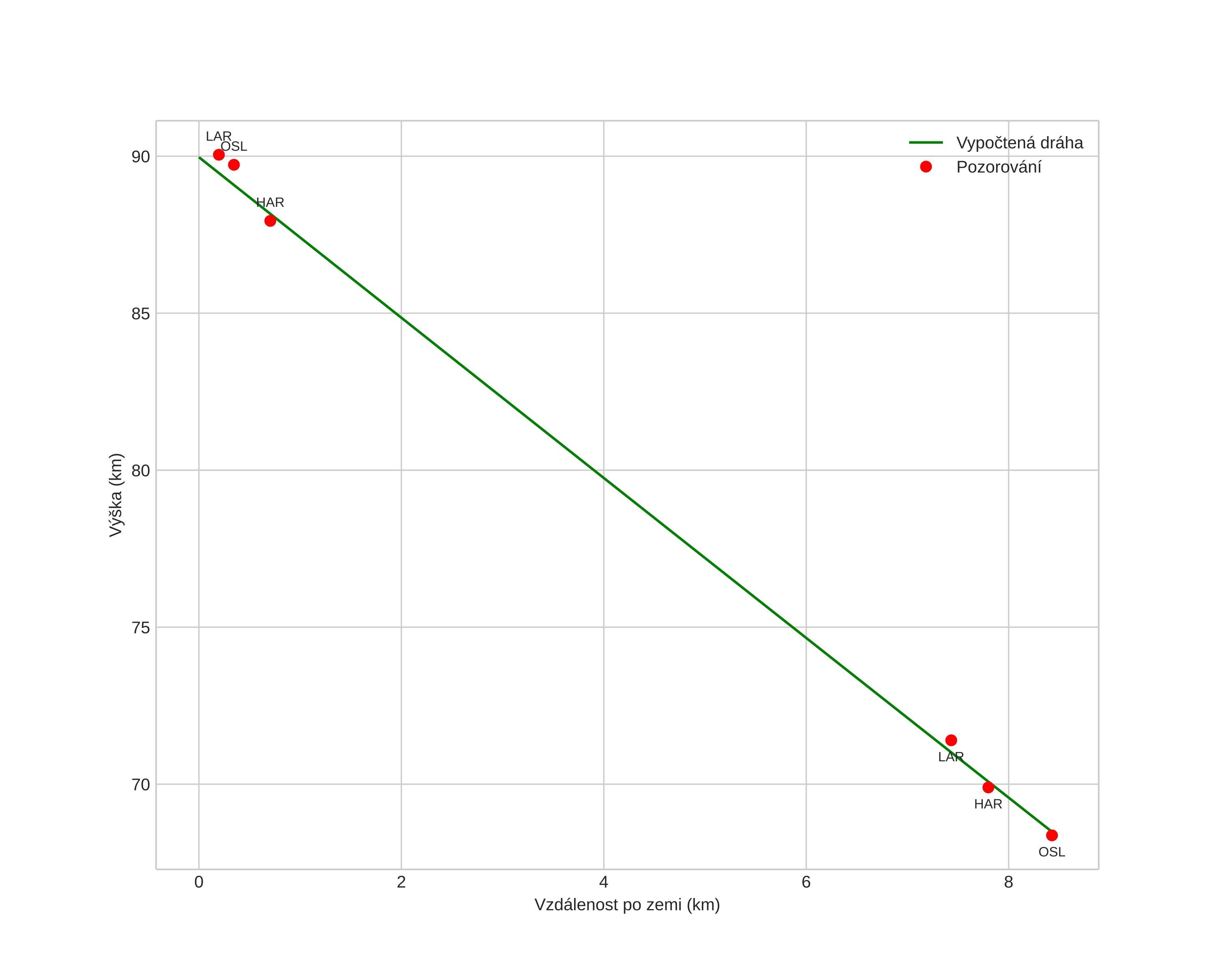
height profile
Atmosférická dráha meteoru:
Počáteční výška: 91,7 km
Konečná výška: 70,5 km
Počáteční poloha: 60,030N 10,717E
Konečná poloha: 59,996N 10,844E
Směr: 118,5°
Sklon: 69,4°
VstupnĂ­ rychlost: 25,3 km/s
Rektascenze radiantu: 18:19 (274,8°)
Deklinace radiantu: 62,8°
MeteorickĂ˝ roj: sporadickĂ˝
Elementy dráhy meteoroidu:
Vzdálenost v periheliu: 0,986 AU
Excentricita: 0,683
Sklon dráhy: 35,7°
Délka vzestupného uzlu: 245,6°
Argument perihelia: 177,6°
Střední anomálie: 0,3°
Epocha: 2020 NOV 27 16:16:26
orbit plot

NeinteraktivnĂ­ graf | InteraktivnĂ­ graf

position vs time
speed and acceleration