🇳🇴 🇬🇧 🇩🇪 🇨🇿 🇫🇮

Meteor Rotnesin yllä 2020-11-27 16:16:26 UTC

KML-tiedosto  |  Interaktiivinen kartta

Kartta näyttää meteorin suuntahavainnot. Vaaleammat viivat näyttävät suunnat havaintoasemilta meteorin ilmestyessä, ja tummemmat viivat näyttävät, missä se viimeksi nähtiin. Sininen nuoli näyttää meteorin näkyvän lennon.

static map
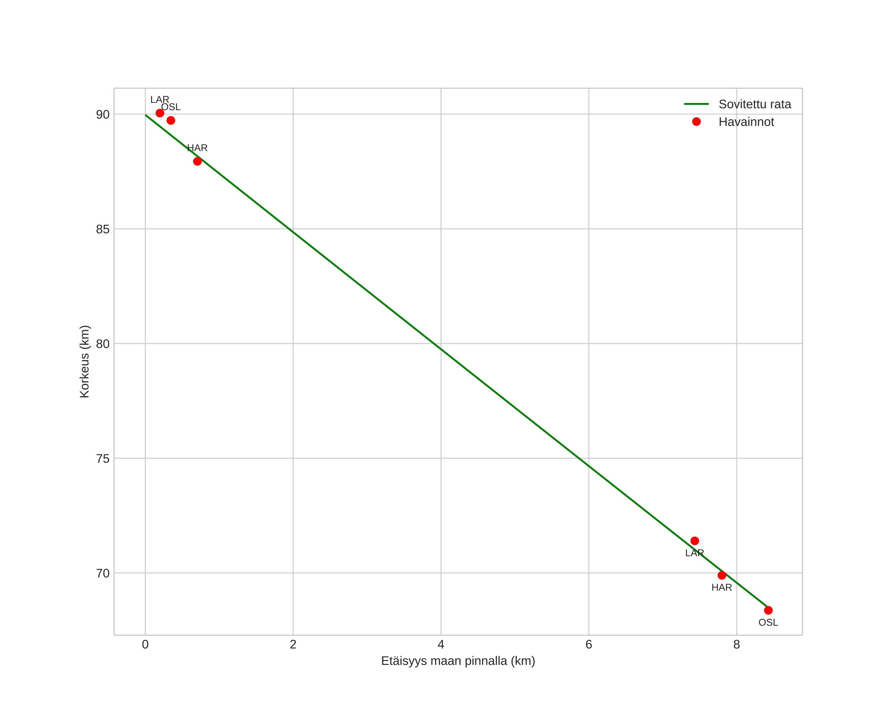
height profile
Meteorin ilmakehärata:
Alkukorkeus: 91,7 km
Loppukorkeus: 70,5 km
Alkupiste: 60,030N 10,717E
Loppupiste: 59,996N 10,844E
Suunta: 118,5°
Kallistuskulma: 69,4°
Tulonopeus: 25,3 km/s
Radiantin R,A,: 18:19 (274,8°)
Radiantin Dekl,: 62,8°
Meteoriparvi: Sporadinen
Meteoroidin rataelementit:
Perihelietäisyys: 0,986 AU
Eksentrisyys: 0,683
Inklinaatio: 35,7°
Nousevan solmun pituus: 245,6°
Perihelin argumentti: 177,6°
Keskianomalia: 0,3°
Epookki: 2020 NOV 27 16:16:26
orbit plot

Ei-interaktiivinen kuvaaja | Interaktiivinen kuvaaja

position vs time
speed and acceleration