🇳🇴 🇬🇧 🇩🇪 🇨🇿 🇫🇮

Meteor, poloha: Kirkenær 2020-11-27 19:53:07 UTC

Soubor KML  |  InteraktivnĂ­ mapa

Mapa zobrazuje dráhy meteoru. Světlejší čáry ukazují směry od pozorovacích stanic při objevení se meteoru a tmavší čáry, kde byl naposledy viděn. Modrá šipka značí viditelnou dráhu meteoru.

static map
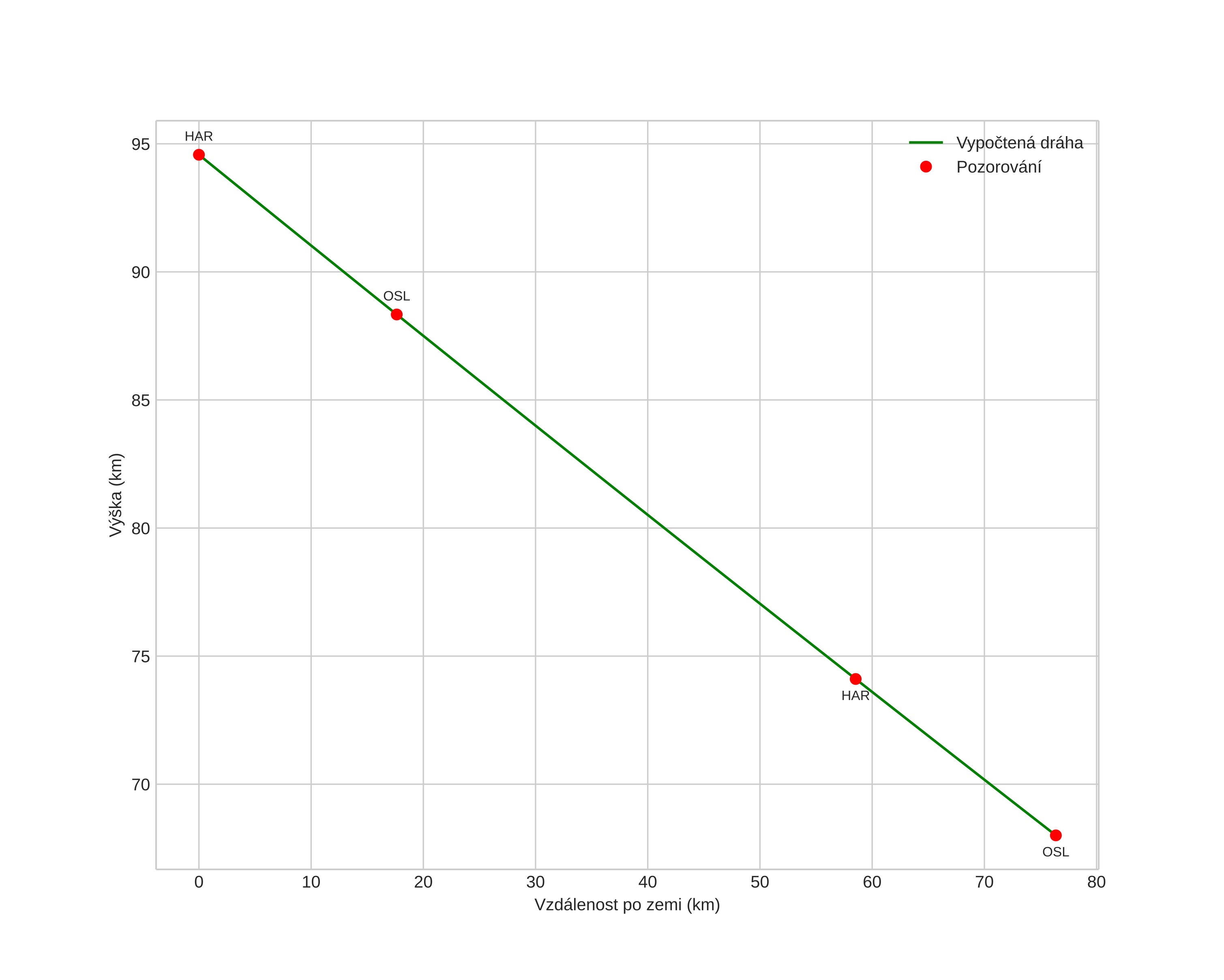
height profile
Atmosférická dráha meteoru:
Počáteční výška: 94,7 km
Konečná výška: 66,9 km
Počáteční poloha: 60,578N 11,073E
Konečná poloha: 60,361N 12,409E
Směr: 107,6°
Sklon: 19,8°
VstupnĂ­ rychlost: 20,8 km/s
Rektascenze radiantu: 18:30 (277,5°)
Deklinace radiantu: 19,8°
MeteorickĂ˝ roj: sporadickĂ˝
Elementy dráhy meteoroidu:
Vzdálenost v periheliu: 0,916 AU
Excentricita: 0,857
Sklon dráhy: 18,0°
Délka vzestupného uzlu: 245,7°
Argument perihelia: 147,6°
Střední anomálie: 1,4°
Epocha: 2020 NOV 27 19:53:07
orbit plot

NeinteraktivnĂ­ graf | InteraktivnĂ­ graf

position vs time
speed and acceleration