🇳🇴 🇬🇧 🇩🇪 🇨🇿 🇫🇮

Meteor Kirkenærin yllä 2020-11-27 19:53:07 UTC

KML-tiedosto  |  Interaktiivinen kartta

Kartta näyttää meteorin suuntahavainnot. Vaaleammat viivat näyttävät suunnat havaintoasemilta meteorin ilmestyessä, ja tummemmat viivat näyttävät, missä se viimeksi nähtiin. Sininen nuoli näyttää meteorin näkyvän lennon.

static map
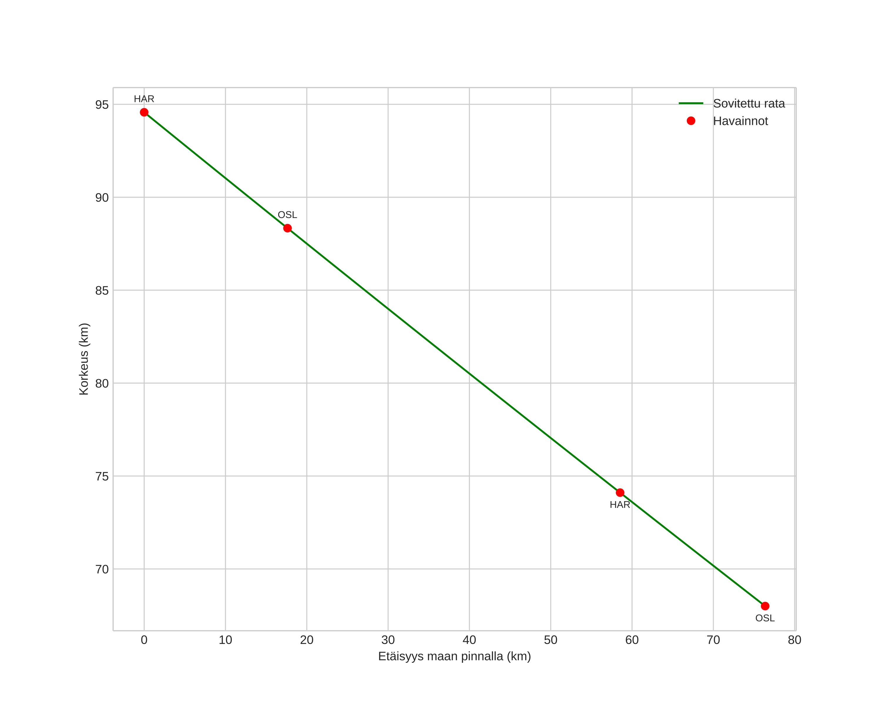
height profile
Meteorin ilmakehärata:
Alkukorkeus: 94,7 km
Loppukorkeus: 66,9 km
Alkupiste: 60,578N 11,073E
Loppupiste: 60,361N 12,409E
Suunta: 107,6°
Kallistuskulma: 19,8°
Tulonopeus: 20,8 km/s
Radiantin R,A,: 18:30 (277,5°)
Radiantin Dekl,: 19,8°
Meteoriparvi: Sporadinen
Meteoroidin rataelementit:
Perihelietäisyys: 0,916 AU
Eksentrisyys: 0,857
Inklinaatio: 18,0°
Nousevan solmun pituus: 245,7°
Perihelin argumentti: 147,6°
Keskianomalia: 1,4°
Epookki: 2020 NOV 27 19:53:07
orbit plot

Ei-interaktiivinen kuvaaja | Interaktiivinen kuvaaja

position vs time
speed and acceleration