🇳🇴 🇬🇧 🇩🇪 🇨🇿 🇫🇮

Meteor, poloha: Storslett 2020-11-27 20:44:43 UTC

Soubor KML

Mapa zobrazuje dráhy meteoru. Světlejší čáry ukazují směry od pozorovacích stanic při objevení se meteoru a tmavší čáry, kde byl naposledy viděn. Modrá šipka značí viditelnou dráhu meteoru.

static map
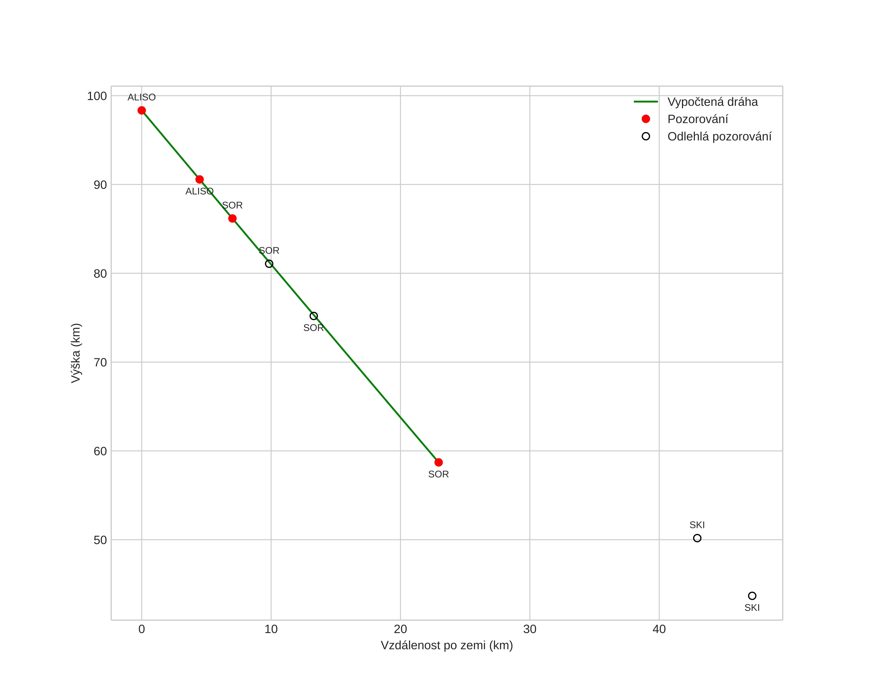
height profile
Atmosférická dráha meteoru:
Počáteční výška: 98,3 km
Konečná výška: 58,7 km
Počáteční poloha: 68,719N 20,886E
Konečná poloha: 68,911N 21,090E
Směr: 20,9°
Sklon: 59,9°
VstupnĂ­ rychlost: 20,0 km/s
Rektascenze radiantu: 01:37 (24,3°)
Deklinace radiantu: 36,5°
MeteorickĂ˝ roj: sporadickĂ˝
Elementy dráhy meteoroidu:
Vzdálenost v periheliu: 0,867 AU
Excentricita: 0,853
Sklon dráhy: 10,4°
Délka vzestupného uzlu: 245,8°
Argument perihelia: 222,6°
Střední anomálie: 358,1°
Epocha: 2020 NOV 27 20:44:43
orbit plot

NeinteraktivnĂ­ graf

position vs time
speed and acceleration

Skibotn (SKI) cam3

gnomonic
Videa
• Původní
Obrázky
• Původní
Textové soubory
• Detekce
• Pozorování
• Souřadnice
• Chybová hlášení
Jasnost