🇳🇴 🇬🇧 🇩🇪 🇨🇿 🇫🇮

Meteor Storslettin yllä 2020-11-27 20:44:43 UTC

KML-tiedosto  |  Interaktiivinen kartta

Kartta näyttää meteorin suuntahavainnot. Vaaleammat viivat näyttävät suunnat havaintoasemilta meteorin ilmestyessä, ja tummemmat viivat näyttävät, missä se viimeksi nähtiin. Sininen nuoli näyttää meteorin näkyvän lennon.

static map
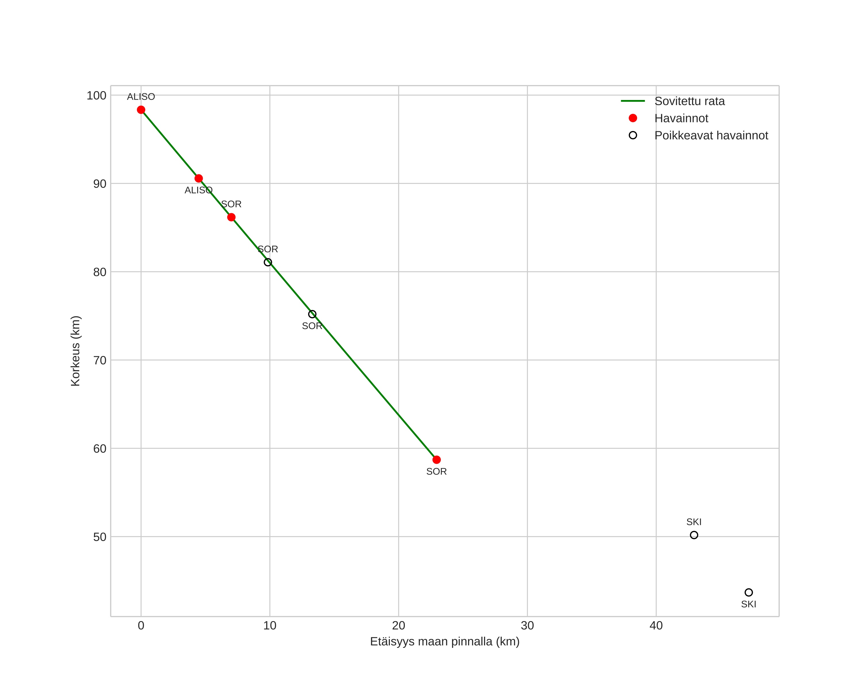
height profile
Meteorin ilmakehärata:
Alkukorkeus: 98,0 km
Loppukorkeus: 58,7 km
Alkupiste: 68,716N 20,884E
Loppupiste: 68,911N 21,089E
Suunta: 20,7°
Kallistuskulma: 59,5°
Tulonopeus: 20,0 km/s
Radiantin R,A,: 01:37 (24,3°)
Radiantin Dekl,: 36,0°
Meteoriparvi: Sporadinen
Meteoroidin rataelementit:
Perihelietäisyys: 0,867 AU
Eksentrisyys: 0,856
Inklinaatio: 10,2°
Nousevan solmun pituus: 245,8°
Perihelin argumentti: 222,4°
Keskianomalia: 358,1°
Epookki: 2020 NOV 27 20:44:43
orbit plot

Ei-interaktiivinen kuvaaja | Interaktiivinen kuvaaja

position vs time
speed and acceleration

Skibotn (SKI) cam3

gnomonic
Videot:
• Alkuperäinen
Kuvat:
• Alkuperäinen
Tekstitiedostot:
• Havaintoraportti
• Observaatio
• Koordinaatit
• Virheilmoitukset
• Loki
Kirkkaus