🇳🇴 🇬🇧 🇩🇪 🇨🇿 🇫🇮

Meteor, poloha: Filipstad 2020-11-28 15:39:59 UTC

Soubor KML  |  InteraktivnĂ­ mapa

Mapa zobrazuje dráhy meteoru. Světlejší čáry ukazují směry od pozorovacích stanic při objevení se meteoru a tmavší čáry, kde byl naposledy viděn. Modrá šipka značí viditelnou dráhu meteoru.

static map
height profile
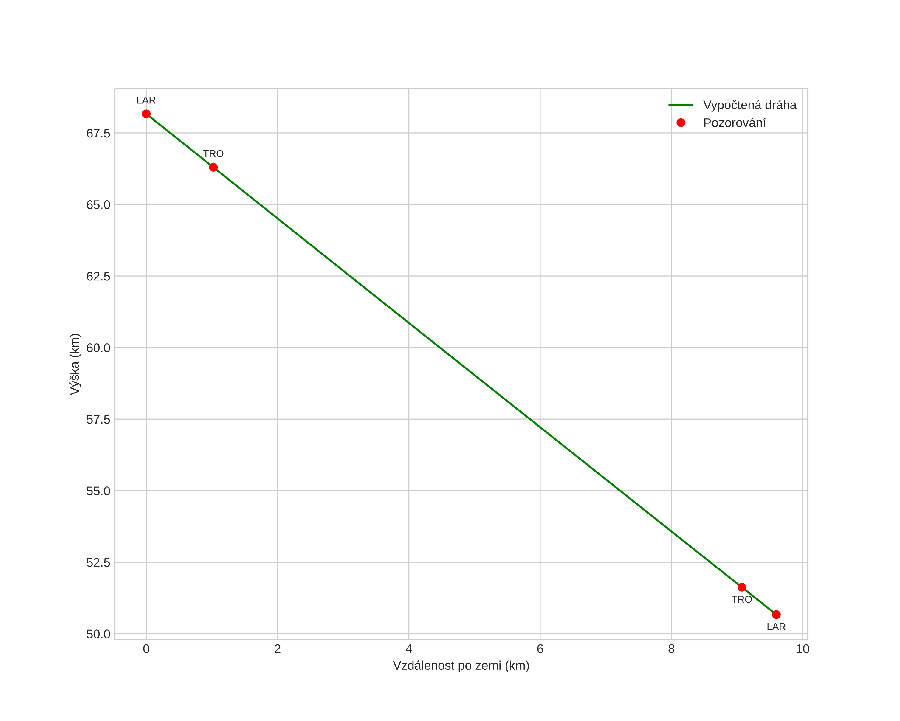
Atmosférická dráha meteoru:
Počáteční výška: 65,8 km
Konečná výška: 49,3 km
Počáteční poloha: 59,916N 14,261E
Konečná poloha: 59,836N 14,233E
Směr: 190,1°
Sklon: 61,3°
VstupnĂ­ rychlost: 25,7 km/s
Rektascenze radiantu: 02:43 (41,0°)
Deklinace radiantu: 85,4°
MeteorickĂ˝ roj: sporadickĂ˝
Elementy dráhy meteoroidu:
Vzdálenost v periheliu: 0,861 AU
Excentricita: 0,498
Sklon dráhy: 37,0°
Délka vzestupného uzlu: 246,6°
Argument perihelia: 231,9°
Střední anomálie: 343,5°
Epocha: 2020 NOV 28 15:39:59
orbit plot

NeinteraktivnĂ­ graf | InteraktivnĂ­ graf

position vs time
speed and acceleration