🇳🇴 🇬🇧 🇩🇪 🇨🇿 🇫🇮

Meteor Filipstadin yllä 2020-11-28 15:39:59 UTC

KML-tiedosto  |  Interaktiivinen kartta

Kartta näyttää meteorin suuntahavainnot. Vaaleammat viivat näyttävät suunnat havaintoasemilta meteorin ilmestyessä, ja tummemmat viivat näyttävät, missä se viimeksi nähtiin. Sininen nuoli näyttää meteorin näkyvän lennon.

static map
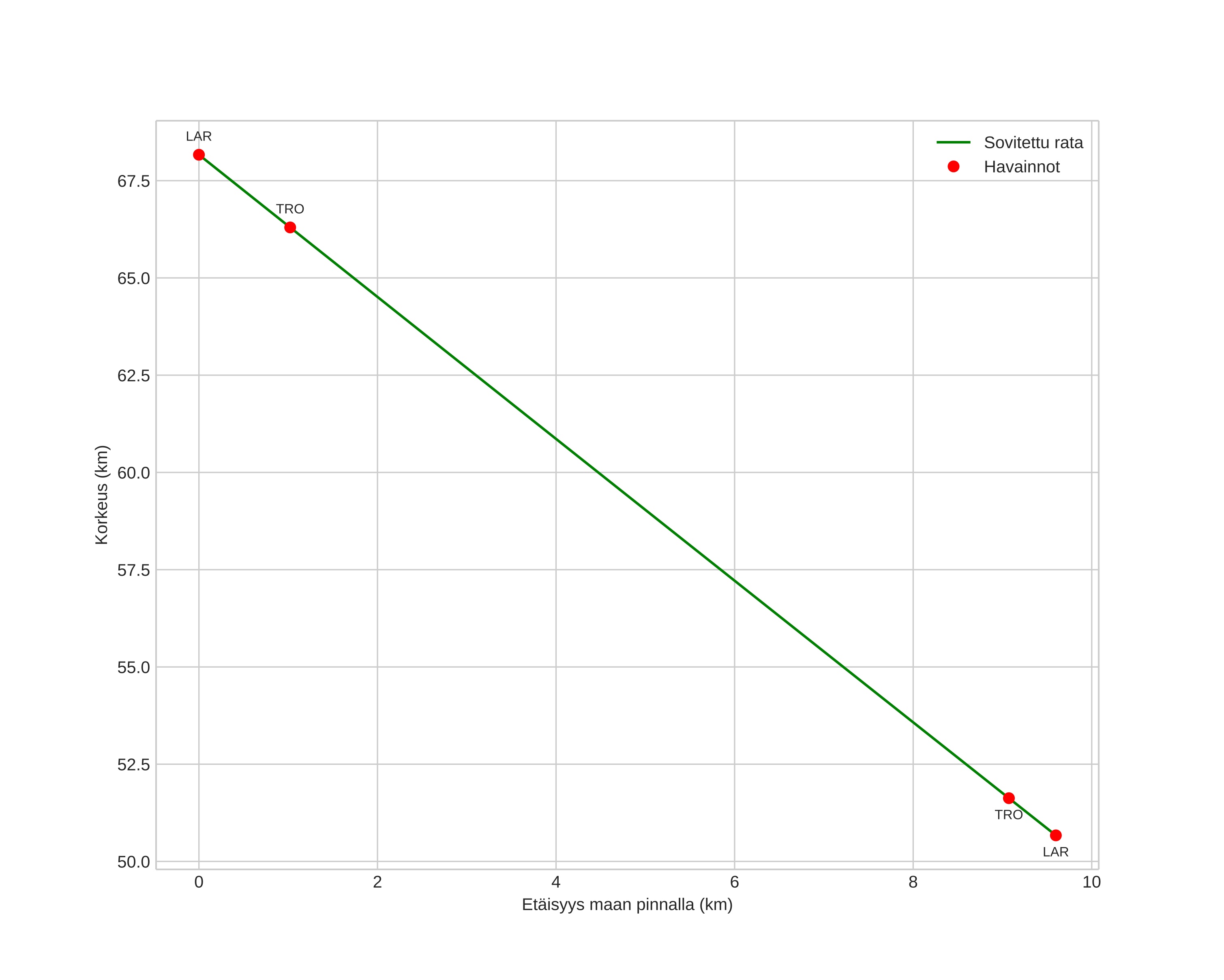
height profile
Meteorin ilmakehärata:
Alkukorkeus: 65,8 km
Loppukorkeus: 49,3 km
Alkupiste: 59,916N 14,261E
Loppupiste: 59,836N 14,233E
Suunta: 190,1°
Kallistuskulma: 61,3°
Tulonopeus: 25,7 km/s
Radiantin R,A,: 02:43 (41,0°)
Radiantin Dekl,: 85,4°
Meteoriparvi: Sporadinen
Meteoroidin rataelementit:
Perihelietäisyys: 0,861 AU
Eksentrisyys: 0,498
Inklinaatio: 37,0°
Nousevan solmun pituus: 246,6°
Perihelin argumentti: 231,9°
Keskianomalia: 343,5°
Epookki: 2020 NOV 28 15:39:59
orbit plot

Ei-interaktiivinen kuvaaja | Interaktiivinen kuvaaja

position vs time
speed and acceleration