🇳🇴 🇬🇧 🇩🇪 🇨🇿 🇫🇮

Meteor, poloha: Lauvsnes 2020-11-29 00:44:39 UTC

Soubor KML  |  InteraktivnĂ­ mapa

Mapa zobrazuje dráhy meteoru. Světlejší čáry ukazují směry od pozorovacích stanic při objevení se meteoru a tmavší čáry, kde byl naposledy viděn. Modrá šipka značí viditelnou dráhu meteoru.

static map
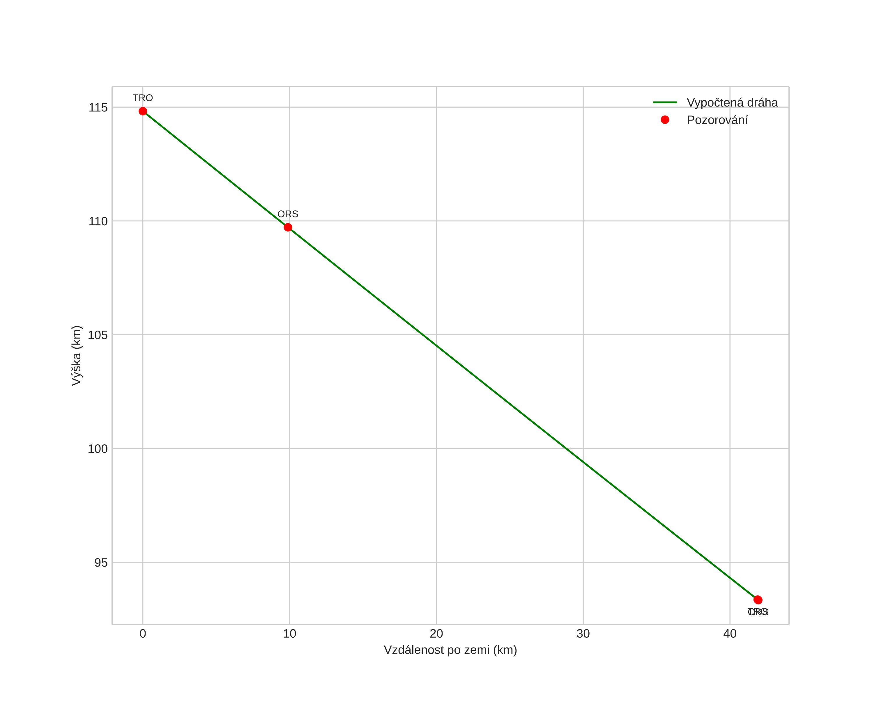
height profile
Atmosférická dráha meteoru:
Počáteční výška: 112,7 km
Konečná výška: 89,1 km
Počáteční poloha: 64,933N 11,635E
Konečná poloha: 65,005N 10,689E
Směr: 280,6°
Sklon: 27,6°
VstupnĂ­ rychlost: 73,0 km/s
Rektascenze radiantu: 10:37 (159,4°)
Deklinace radiantu: 20,3°
MeteorickĂ˝ roj: Leonidy
Elementy dráhy meteoroidu:
Vzdálenost v periheliu: 0,974 AU
Excentricita: 1,039
Sklon dráhy: 161,6°
Délka vzestupného uzlu: 247,0°
Argument perihelia: 192,5°
Střední anomálie: -0,1°
Epocha: 2020 NOV 29 00:44:39
orbit plot

NeinteraktivnĂ­ graf | InteraktivnĂ­ graf

position vs time
speed and acceleration