🇳🇴 🇬🇧 🇩🇪 🇨🇿 🇫🇮

Meteor Lauvsnesin yllä 2020-11-29 00:44:39 UTC

KML-tiedosto  |  Interaktiivinen kartta

Kartta näyttää meteorin suuntahavainnot. Vaaleammat viivat näyttävät suunnat havaintoasemilta meteorin ilmestyessä, ja tummemmat viivat näyttävät, missä se viimeksi nähtiin. Sininen nuoli näyttää meteorin näkyvän lennon.

static map
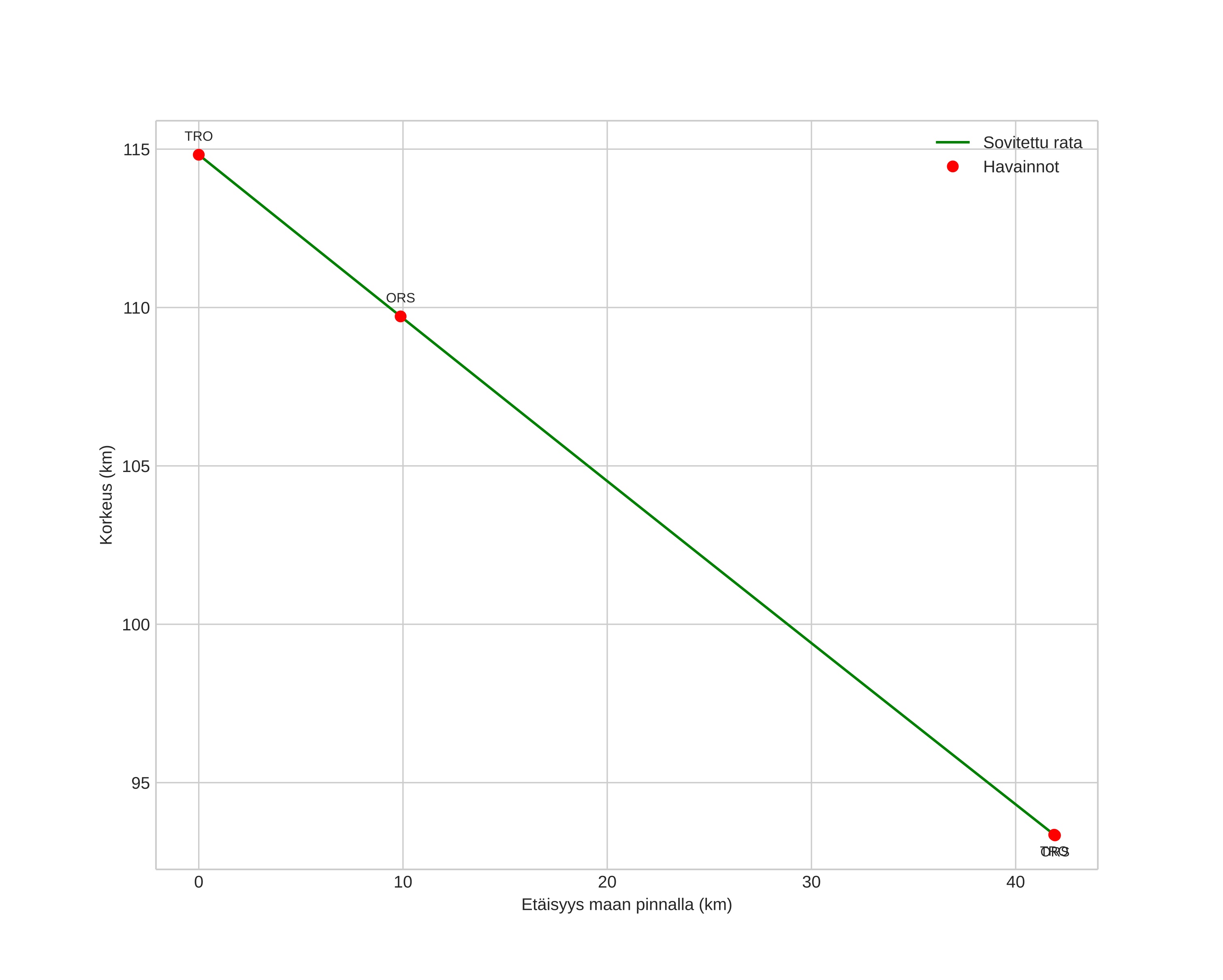
height profile
Meteorin ilmakehärata:
Alkukorkeus: 112,7 km
Loppukorkeus: 89,1 km
Alkupiste: 64,933N 11,635E
Loppupiste: 65,005N 10,689E
Suunta: 280,6°
Kallistuskulma: 27,6°
Tulonopeus: 73,0 km/s
Radiantin R,A,: 10:37 (159,4°)
Radiantin Dekl,: 20,3°
Meteoriparvi: Leonidit
Meteoroidin rataelementit:
Perihelietäisyys: 0,974 AU
Eksentrisyys: 1,039
Inklinaatio: 161,6°
Nousevan solmun pituus: 247,0°
Perihelin argumentti: 192,5°
Keskianomalia: -0,1°
Epookki: 2020 NOV 29 00:44:39
orbit plot

Ei-interaktiivinen kuvaaja | Interaktiivinen kuvaaja

position vs time
speed and acceleration