🇳🇴 🇬🇧 🇩🇪 🇨🇿 🇫🇮

Meteor, poloha: Setermoen 2020-11-30 01:25:23 UTC

Soubor KML  |  InteraktivnĂ­ mapa

Mapa zobrazuje dráhy meteoru. Světlejší čáry ukazují směry od pozorovacích stanic při objevení se meteoru a tmavší čáry, kde byl naposledy viděn. Modrá šipka značí viditelnou dráhu meteoru.

static map
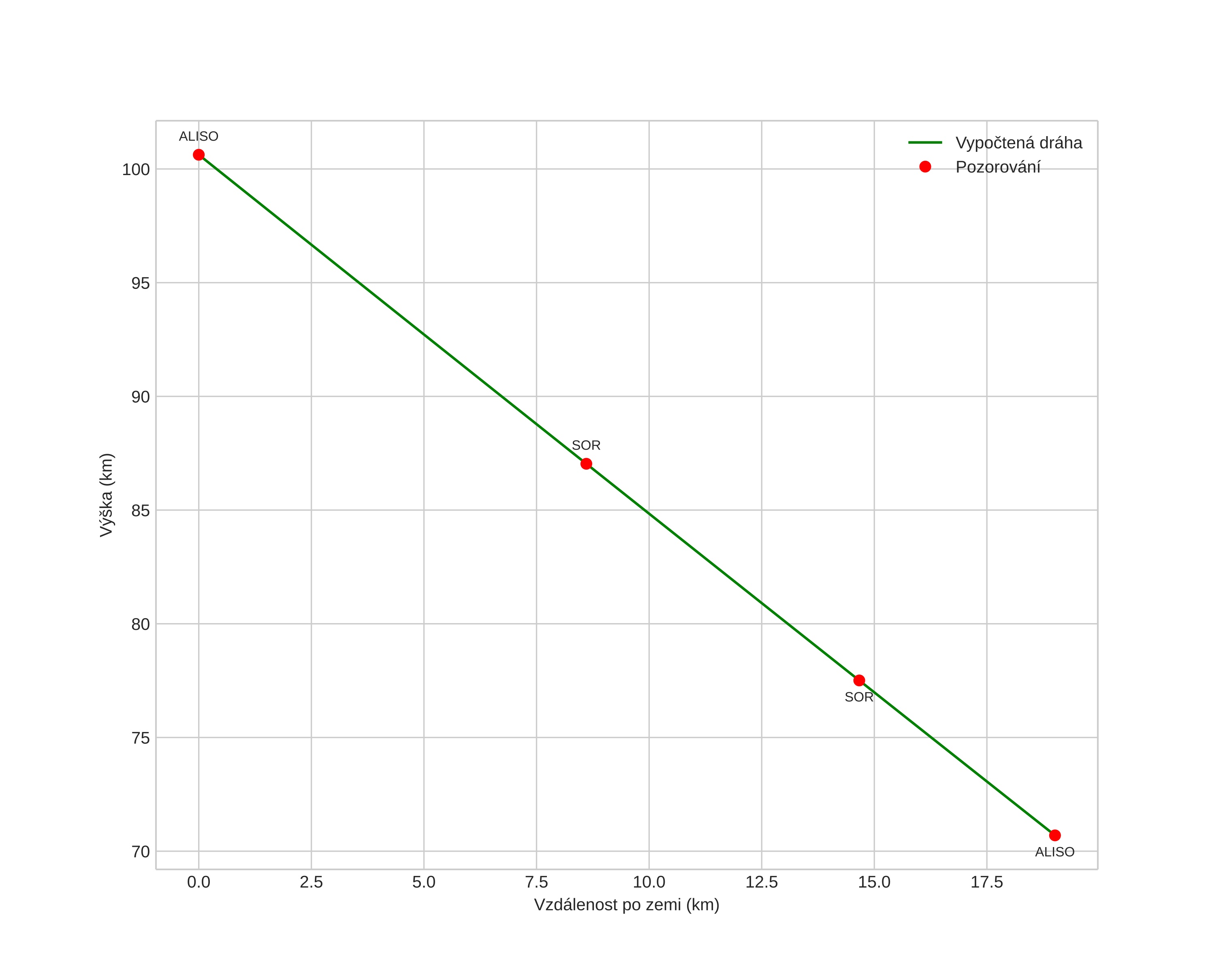
height profile
Atmosférická dráha meteoru:
Počáteční výška: 100,4 km
Konečná výška: 70,4 km
Počáteční poloha: 67,964N 18,758E
Konečná poloha: 67,894N 18,349E
Směr: 245,7°
Sklon: 58,0°
VstupnĂ­ rychlost: 44,3 km/s
Rektascenze radiantu: 12:24 (186,2°)
Deklinace radiantu: 60,1°
MeteorickĂ˝ roj: sporadickĂ˝
Elementy dráhy meteoroidu:
Vzdálenost v periheliu: 0,964 AU
Excentricita: 0,426
Sklon dráhy: 80,6°
Délka vzestupného uzlu: 248,0°
Argument perihelia: 202,1°
Střední anomálie: 351,8°
Epocha: 2020 NOV 30 01:25:23
orbit plot

NeinteraktivnĂ­ graf | InteraktivnĂ­ graf

position vs time
speed and acceleration